

近期,中科院力学所非线性力学国家重点实验室胡剑桥助理研究员以第一作者身份在《国际摩擦学》(Tribology International)上发表了题为“Effect of plasticity on nanoscale wear of third-body particles”的研究文章,揭示三体颗粒摩擦过程中粘着磨损的新机理。《国际摩擦学》是著名摩擦学专...
2020-10-30
近日,《材料学报》 (Acta Materialia) 以“多晶固体内耗峰值的尺寸效应”为题报道了中科院力学所非线性力学国家重点实验室魏宇杰研究员团队在晶界内耗研究方面的进展。 振动的琴弦可持续很长时间,余音不绝,而某些材料在没有外部激励时则很快就停止振动,两者的差异通常由材料内部的微观结...
2020-10-30
近期,中科院力学所魏宇杰研究员、彭神佑博士(现湖南大学助理教授)与南洋理工学院高华健院士合作在《美国科学院院刊》(Proc. Nat. Acad. Sci)上发表了题为 “Nanoscale precipitates as sustainable dislocation sources for enhanced ductility and high strength” 的研究文章,揭示了在...
2020-10-30
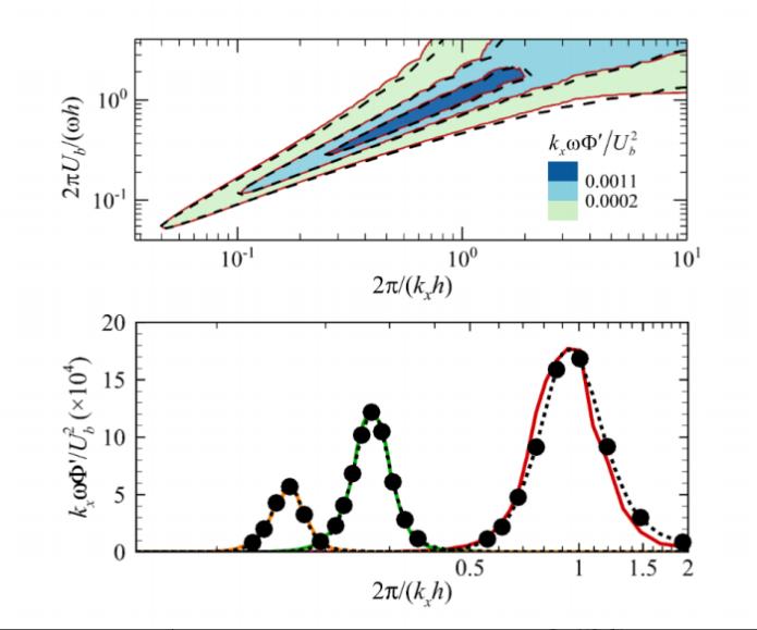
时空能谱描述了湍流结构的时空演化以及湍流能量的时空分布,是刻画湍流时空结构的重要统计工具。在国家自然科学基金委“非线性力学的多尺度问题研究”基础科学中心的支持下,中国科学院力学研究所何国威研究团队提出了一种通过两点测量的湍流速度脉动时间序列来重构时空能谱的统计模型。该模型...
2020-10-30
近期,清华大学燃烧能源中心、能源与动力工程系和航天航空学院的孙超教授以通讯作者身份与美国布朗大学的 Varghese Mathai 以及荷兰屯特大学 Detlef Lohse 合作在《凝聚态物理年鉴》(Annual Review of Condensed Matter Physics) 发表了题为“携带气泡和轻颗粒的两相湍流”的综述性论文。《凝...
2020-04-30