
重构湍流时空能谱的局部调制波模型
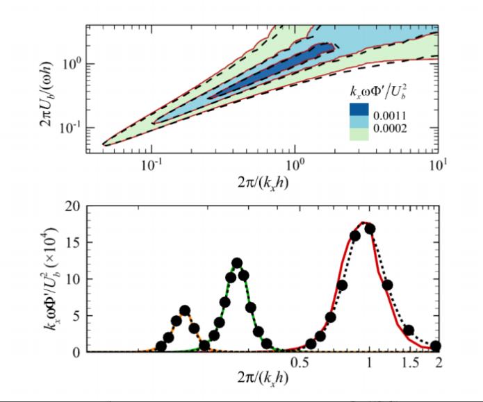
时空能谱描述了湍流结构的时空演化以及湍流能量的时空分布,是刻画湍流时空结构的重要统计工具。在国家自然科学基金委“非线性力学的多尺度问题研究”基础科学中心的支持下,中国科学院力学研究所何国威研究团队提出了一种通过两点测量的湍流速度脉动时间序列来重构时空能谱的统计模型。该模型使用局部调制波发展了湍流含能结构的高阶近似,可以正确预测时空能谱的平均波数和谱宽,从而克服了经典的泰勒冻结假设预测的零谱宽以及局部波数模型低估谱宽的缺陷。模型得到了槽道湍流直接数值模拟数据的验证(图 1)。该项工作不但给出了湍流时空能谱展宽的物理机制,而且为测量风电场、航空器绕流等工况中的时空能谱提供技术途径,在湍流噪声和结构疲劳等问题的预测中有重要应用。
相关研究成果发表于 Journal of Fluid Mechanics(2020, 886, A11)。
论文链接:http://dx.doi.org/10.1017/jfm.2019.1044

图 1. 上:云图与红色实线为直接数值模拟的时空预乘谱,黑色虚线为局部调制波模型的结果;下:彩色实线为直接数值模拟的时空预乘谱截面,黑色虚线与点为局部调制波模型的结果。
附件下载: