
多晶材料内耗峰值的尺寸效应
近日,《材料学报》 (Acta Materialia) 以“多晶固体内耗峰值的尺寸效应”为题报道了中科院力学所非线性力学国家重点实验室魏宇杰研究员团队在晶界内耗研究方面的进展。
振动的琴弦可持续很长时间,余音不绝,而某些材料在没有外部激励时则很快就停止振动,两者的差异通常由材料内部的微观结构-以及微观结构的耗散导致,物理上称之为内耗。内耗指固体振动过程中的能量耗散,它表征材料的阻尼性能。晶界作为多晶材料重要的内耗源,其力学弛豫会引起内耗。我国科学家葛庭遂先生于 1947 年首创可以测量低频内耗的“葛式扭摆”,在多晶铝的内耗谱(内耗作为温度或频率的函数)中发现了一个晶界内耗峰(又称“葛式峰”, 见图 3), 并用晶界粘滞性滑动模型给予了解释,奠定了“滞弹性”这门学科的实验基础。
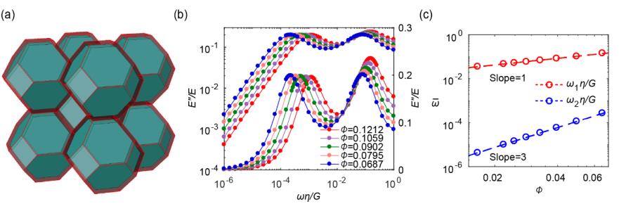
此后,科研工作者们测量了多种多晶材料的内耗谱,但得到差异很大的实验结果,其中有的材料并不出现晶界内耗峰,有的材料则出现多个晶界内耗峰。以往基于晶界粘性滑动假设的理论与模拟难以解释这些实验现象。该研究团队从晶界的微观变形机理出发,就晶界中的粘弹性蠕变与扩散耦合问题,发展了用于描述晶界中粘弹塑性变形的数值方法来研究多晶体中晶界弛豫引起的内耗。通过建立图(4a)所示的三维多晶模型,该团队计算了其损耗模量频率谱(见图 4b),发现除了晶界切向应力的弛豫会导致损耗谱上产生耗散峰(“葛式峰”)外,晶界法向应力的弛豫也会引起耗散峰的出现。这一双峰弛豫的临界频率与晶粒尺寸 ??具有不同的幂律关系(见图 4c),其中低频峰临界频率正比于 ???3,高频峰临界频率正比于 ???1,明确了两个耗散峰对应的晶界微观变形模式。此外,该团队还研究了晶界内耗峰对晶界弹性性质的依赖性,确定了两个耗散峰存在的条件。
该工作对晶界内耗峰的物理机制的研究具有重要意义,同时也有利于研究地震波在多孔介质以及颗粒材料传播过程中的衰减。该论文得到了国家自然科学基金委“非线性力学的多尺度问题研究”基础科学中心(基金号 11988102)和国家自然科学基金 (基金号 11790291),中国科学院先导专项(XDB22020200)以及复杂系统力学卓越创新中心的支持。
论文链接:https://www.sciencedirect.com/science/article/abs/pii/S135964542030793X

图 3: (a) 葛庭遂先生;(b)“葛式扭摆”,可以用于测量丝状试样的内耗和切变模量; (c) “葛式峰”,在多晶铝的内耗谱(内耗作为温度的函数)上发现了在单晶铝上不存在的内耗峰。其中,图(a) 取自 Metallurgical and Materials Transactions A 30.9 (1999): 2267-2295,图(b) 和(c) 取自《固体内耗理论基础:晶界弛豫与晶界结构》,北京大学出版社,2014。

图 4: 三维多晶的内耗峰尺寸效应:(a) Wigner-Seitz 模型; (b) 不同晶界体积分数 ?? 的多晶体的损耗模量频率谱:这里高频峰对应于图 3(c)中的“葛式峰”,由晶界的粘滞性滑动引起,而低频峰则是新发现的耗散峰,由晶界的法向弛豫引起; (c) 两个峰对应的临界频率值与晶界体积分数 ?? 的关系,注意晶界体积分数 ?? 与晶粒寸尺 ?? 成反比,即 ?? ∝ ???1,因此低频峰临界频率正比于 ???3,,高频峰临界频率正比于 ???1,。
附件下载: