• 首 页
  • 机构概况
    • 机构简介
    • 组织机构
      • 科研系统
      • 管理系统
      • 支撑系统
    • 所党委
    • 行政领导
    • 历任党组织负责人
    • 历任行政领导
    • 学术委员会
    • 学位委员会
    • 形象标识
    • 所内风光
      • 中关村园区
      • 怀柔园区
      • 落塔
      • 科学家精神
      • 文体活动
  • 科学研究
    • 研究领域
    • 合作交流
    • 科研进展
    • 仪器设备
    • 科研产出
      • 获奖
      • 专著
      • 论文
      • 专利
  • 人才队伍
    • 人才概况
    • 两院院士
    • 正高级岗位
    • 副高级岗位
    • 优秀人才
      • 国家级领军人才
      • 国家级青年人才
      • 中国科学院青促会
      • 创新团队
      • 优培计划
  • 教育培养
    • 机构简介
    • 导师队伍
    • 招生就业
    • 培养学位
    • 思想政治教育
    • 通知公告
    • 研究生教育
  • 党群园地
    • 党组织机构
      • 所党委
      • 所纪委
      • 党支部
      • 工会
      • 团委
      • 妇委会
    • 党建要闻
    • 基层战斗堡垒作用
    • 党员先锋模范作用
    • 工作通知
    • 学习园地
    • 规章制度
    • 警示教育
    • 流程指南
    • 协力原创文章
      • 党员随笔
      • 创新驱动发展
      • 力学人
    • 党员主题教育基地
  • 科学传播
    • 学术期刊
    • 科普资源
    • 力学园地
      • 科普花园
      • 前沿动态
      • 情系科学
      • 释疑解惑
      • 精彩图片
    • 科普报告
  • 信息公开
    • 信息公开规定
    • 信息公开指南
    • 信息公开目录
    • 依申请公开
      • 公民
      • 法人/其他组织
    • 信息公开年度报告
      • 预算决算
    • 信息公开联系方式
  • 中科力森
    • 关于力森
    • 主体业务
      • 国资监管
      • 成果转化
      • 知识产权运营
      • 投资
    • 产业布局
      • 持股企业
      • 事业部
      • 产品介绍
      • 科技成果
        • 航空航天
        • 生命健康
        • 交通能源
        • 先进制造
        • 专业软件
    • 新闻资讯
      • 力森要闻
      • 持股企业动态
    • 招聘信息
      • 岗位信息
      • 持股公司
    • 联系我们
  • 怀柔园区
    • 基地概况
    • 动态信息
    • 通知公告
    • 科研团队
    • 管理制度
    • 流程指南
    • 基础服务
    • 周边配套及景点
    • 联系我们
    • 图片新闻
    • 科研进展
    • 全文检索
    • 大型装备
    • 园区简介
    • 配套设施
    • 联系我们
  • 基础科学中心
    • 中心简介
    • 工作动态
    • 科研进展
    • 会议通知
    • 人才队伍
      • 核心骨干
      • 青年人才
    • 快讯
  • 媒体扫描
  • 综合信息
  • 通知公告
  • 学术交流
  • 招聘信息
  • 仪器设备
  • 专题报道
  • English
  • 所内网
  • 邮箱登录
  • 所长信箱
  • 联系我们
  • English
  • 所内网
  • 邮箱登录
  • 所长信箱
  • 联系我们
  • 首 页
  • 机构概况
    • 机构简介
    • 组织机构
      • 科研系统
      • 管理系统
      • 支撑系统
    • 所党委
    • 行政领导
    • 历任党组织负责人
    • 历任行政领导
    • 学术委员会
    • 学位委员会
    • 形象标识
    • 所内风光
      • 中关村园区
      • 怀柔园区
      • 落塔
      • 科学家精神
      • 文体活动
  • 科学研究
    • 研究领域
    • 合作交流
    • 科研进展
    • 仪器设备
    • 科研产出
      • 获奖
      • 专著
      • 论文
      • 专利
  • 人才队伍
    • 人才概况
    • 两院院士
    • 正高级岗位
    • 副高级岗位
    • 优秀人才
      • 国家级领军人才
      • 国家级青年人才
      • 中国科学院青促会
      • 创新团队
      • 优培计划
  • 教育培养
    • 机构简介
    • 导师队伍
    • 招生就业
    • 培养学位
    • 思想政治教育
    • 通知公告
    • 研究生教育
  • 党群园地
    • 党组织机构
    • 党建要闻
    • 基层战斗堡垒作用
    • 党员先锋模范作用
    • 工作通知
    • 学习园地
    • 规章制度
    • 警示教育
    • 流程指南
    • 协力原创文章
      • 党员随笔
      • 创新驱动发展
      • 力学人
    • 党员主题教育基地
  • 科学传播
    • 学术期刊
    • 科普资源
    • 力学园地
      • 科普花园
      • 前沿动态
      • 情系科学
      • 释疑解惑
      • 精彩图片
    • 科普报告
  • 信息公开
    • 信息公开规定
    • 信息公开指南
    • 信息公开目录
    • 依申请公开
      • 公民
      • 法人/其他组织
    • 信息公开年度报告
      • 预算决算
    • 信息公开联系方式
  • 首 页
  • 机构概况
    • 机构简介
    • 组织机构
    • 所党委
    • 行政领导
    • 历任党组织负责人
    • 历任行政领导
    • 学术委员会
    • 学位委员会
    • 形象标识
    • 所内风光
  • 科学研究
    • 研究领域
    • 合作交流
    • 科研进展
    • 仪器设备
    • 科研产出
      • 获奖
      • 专著
      • 论文
      • 专利
  • 人才队伍
    • 两院院士
    • 正高级岗位
    • 副高级岗位
    • 中级及以下岗位
    • 优秀人才
      • 国家级领军人才
      • 国家级青年人才
      • 中国科学院青促会
      • 创新团队
      • 优培计划
    • 人才招聘
  • 教育培养
    • 机构简介
    • 导师队伍
    • 招生就业
    • 培养学位
    • 思想政治教育
    • 通知公告
    • 研究生教育
  • 党群园地
    • 党组织机构
    • 党建要闻
    • 基层战斗堡垒作用
    • 党员先锋模范作用
    • 工作通知
    • 学习园地
    • 规章制度
    • 警示教育
    • 流程指南
    • 协力原创文章
      • 党员随笔
      • 创新驱动发展
      • 力学人
    • 党员主题教育基地
  • 科学传播
    • 学术期刊
    • 科普资源
    • 力学园地
    • 科普报告
  • 信息公开
    • 信息公开规定
    • 信息公开指南
    • 信息公开目录
    • 依申请公开
    • 信息公开年度报告
    • 信息公开联系方式
  • 当前位置:首页图片新闻
  • 图片新闻

    近期科研进展盘点

    发布时间:2024-03-20【字体: 大  中  小 】


    力学所提出旋转壁湍流中拟序结构手性破缺新机制

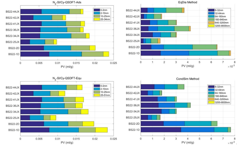
    力学所在页岩孔径分析模型优选研究中取得进展

    力学所在光动力可拉伸电子面膜研究方面取得新进展

    力学所在边界裂纹分岔与裂纹屏蔽效应研究方面取得进展

    力学所提出漂浮式风电机组尾流动力学的快速预测模型

    力学所在主动冷却发动机多通道流动失稳模式及其耦合机制研究取得进展

    力学所提出流体界面接触角迟滞转变的新机制

    力学所在混相湍流封闭模型研究取得进展

    力学所揭示玻璃快弛豫的结构起源

    力学所研究提出离子喷射分子模拟新策略


    力学所提出基于物质黎曼流形的热初始应力超弹性本构关系


    附件下载:

    上一篇:力学所所长罗喜胜带队赴上海、南京部分高校开展科教融合调研
    下一篇:天行一号02星发射成功
    版权所有 © 中国科学院力学研究所 京ICP备05002803号-1 京公网安备110402500049
    地址:北京市北四环西路15号 邮政编码:100190