

在槽道和边界层从层流转捩为湍流的过程中,常常会出现转捩峰处的摩阻和热流值大于充分发展湍流处的摩阻与热流值,这种现象被称为摩阻和热流的过冲现象。尽管过冲现象广泛存在于槽道、边界层等有壁面的流动中,但此现象背后潜藏的流动机理却少有研究。 北京大学陈十一教授科研团队首次利用冯卡门...
2022-05-11
壁面压力的时空谱是壁湍流中湍流噪声的主要声源之一,因此成功预测壁面压力时空谱是气动噪声预测的前提。但是由于通过直接数值模拟(DNS)计算壁面压力时空谱需要较大的计算资源与存储空间,目前文献中壁面压力时空谱的DNS研究仅局限于?????? = 180的低雷诺数情况。 中国科学院力学所何国...
2022-05-11
近期,国际权威期刊《Nano Letters》刊登了中国科学院力学研究所魏宇杰研究员科研团队在偏折裂纹尖端应力场的求解方面的研究进展。论文题目是《二维材料中的纳米级褶皱实现其三维结构的高强度和高韧性》(Roughening for Strengthening and Toughening in Monolayer Carbon Based Composites)...
2021-12-20
近期,国际力学权威期刊《J. Mech. Phys.Solids》刊登了中国科学院力学研究所魏宇杰研究员科研团队在偏折裂纹尖端应力场的求解方面的研究进展。论文题目是《偏折裂纹尖端弹性应力场的解析解》。 裂纹偏折是工程实践中无法避免的力学现象,是断裂力学经典问题之一。裂纹可能由于动态裂纹扩展、结...
2021-12-20
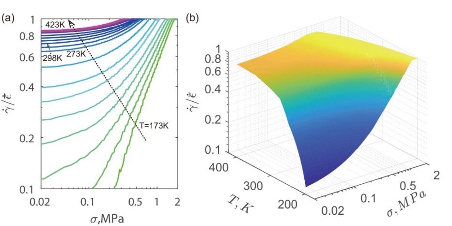
近期,国际力学权威期刊《J. Mech. Phys. Solids》刊登了中国科学院力学研究所魏宇杰研究员科研团队在构建数据驱动的材料本构模型及有限元结合方面的研究进展。论文题目是《物理机理驱动的机器学习本构模型及其有限元集成方法准确刻画锂金属温度和率相关变形行为》。他们在国际上首次提出并实现...
2021-12-20
近期,北京大学工学院力学系易新特聘研究员课题组在《J. Mech. Phys. Solids》发表了题为“A unified mechanistic model for Hall–Petch and inverse Hall–Petch relations of nanocrystalline metals based on intragranular dislocation storage”的研究论文,提出了晶内位错存储能力减弱导...
2021-12-20
近期,《Int. J. Mech. Sci.》和《J. Mech. Phys. Solids》报道了北京大学工学院力学与工程科学系韦小丁研究员课题组在金属玻璃内禀结构非均匀性多尺度分布特征的定量表征,以及非均匀性演化与宏观材料力学性能的关联关系方面研究进展。 课题组提出三维傅里叶分析的方法定量表征金属玻璃从原子...
2021-12-20
近期,《Phys. Rev. Fluids》杂志以快报(Letter)的形式刊登了清华大学孙超教授科研团队关于决定稳定态时冰水界面复杂形貌特征的物理原因的研究进展,论文题为“Ice front shaping by upward convective current”。 这项研究深入探索了影响冰水界面形貌的物理机制。研究发现:热浮力驱动力强度...
2021-12-20