
【前沿动态】浅谈离子喷射及其数值仿真进展
编者按:中国科学院力学研究所微纳米流体力学团队利用分子模拟,探讨了离子液体-真空界面电场诱导离子喷射现象。这项工作得到中国力学学会青年人才蓄水池项目的支持。相关研究成果发表在《流体物理》(Physics of Fluids)上,并入选编辑精选。本刊特此发布蒋玺恺撰写的介绍这个研究的科普文字,以飨读者。
浅谈离子喷射及其数值仿真进展
蒋玺恺
含有自由电子或离子并具有导电性的液体,比如液态金属或电解质溶液,被称为带电液体。在一定外加电场下,液滴和离子等物质会从带电液体的表面喷出,这种现象通常被称为电喷射。由于这样生成的液滴尺寸小而且具有均匀性好等特点,电喷射技术被广泛地用于工业喷涂、静电印刷、载药微粒制备等应用场景。图1是工业机器人为汽车外表面喷涂油漆的情景。而静电印刷的最重要实例就是人们常用的复制文件的各类复印机。载药微粒则是一类新型的投递药物载体,尺寸一般在微米量级,它可以包裹着疫苗、多肽、蛋白和基因等大分子药物并把药物送达人体病变部位来实行靶向和控制释放。

图1 工业机器人给汽车外表面喷涂油漆(图片来源:网络)
近年来,使用离子液体(参见图2)作为液体工质的电喷射受到广泛关注。离子液体是一类低温熔融盐,与日常生活中的食用盐(高温熔融盐)不同,它在较低温度乃至室温能以稳定液态形式存在。研究发现,在一定流量和电场条件下,离子液体的电喷射只喷出离子,不产生液滴,这种现象被称为离子喷射。

图2 离子液体分子结构示意图(左),不同种类的离子液体(右)(图片来源:参考文献[1])
离子喷射的应用也相当广阔。在空间推进领域,离子喷射能使搭载离子液体微推进器的卫星具备更精确高效的姿态和轨道控制能力。在材料处理领域,离子液体的离子喷射可用于产生聚焦离子束,在纳米尺度上对材料进行切削与加工。为了提升离子液体的电喷射在上述应用场景中的性能,需要切实地掌握离子喷射规律。尽管在离子喷射理论和实验方面已取得了不少进展,但是至今为止学界对纳米尺度离子喷射的模拟研究相对较少,如何更真实地进行离子喷射的分子模拟有待探索。
基于这种情况,中国科学院力学研究所微纳米流体力学团队利用分子模拟,探讨了离子液体-真空界面电场诱导离子喷射现象。这里提到的“分子模拟”是指利用理论方法与计算技术,模拟分子结构与微观行为并进而仿真分子体系的各种物理、化学性质的方法。分子模拟的主要方法有两种:分子蒙特卡洛法和分子动力学法,我们采用的是后者。分子动力学方法是基于牛顿力学原理来模拟原子或分子的物理状态和运动轨迹的方法。具体而言,它通过对相互作用粒子的牛顿运动方程进行数值解析来确定体系内粒子的轨迹,而粒子间的作用力和势能则采用粒子间力场来确定。这项工作为选择合适的离子喷射分子模拟策略提供了指导,并为后续研究更复杂的电喷射现象奠定了基础。在图3中,我们给出了不同时刻t下两种离子的喷射情况,其中时间的单位是皮秒(ps)。这里,1皮秒=10-12秒。图4则示出我们进行离子液体-真空界面电场诱导离子喷射模拟系统的示意图,其中离子液体(ionic liquids)位于底部电极(bottom electrode)上方,离子液体的上方则是真空(vacuum),外加电场(applied E)指向顶部电极(top electrode)。图4中虚线框给出分子模拟系统的边界。

图3 (a)阳离子喷射的模拟系统截图;(b)阴离子喷射的模拟系统截图(图片来源:参考文献[2])

图4 离子液体-真空界面电场诱导离子喷射的模拟系统示意图(图片来源:参考文献[2])
研究团队还计算了离子喷射电流密度随液面电场的变化规律,其中比较了三种不同的控温器对模拟结果的影响。这三种控温器分别是Langevin控温器,耗散粒子动力学(dissipative particle dynamics,DPD)控温器和Berendsen控温器(参见图5)。在分子动力学方法中,控温器用于模拟恒温系统,它施加在需要进行温度控制区域内的粒子上。在这项研究中,我们对图4底部电极附近离子液体的温度进行控制。图5提及了不同控温器的适用场景,这里对有关的概念做一些说明:“平衡态”是指系统没有与外界发生物质或能量交换时,系统宏观性质长时间不变的状态;“非平衡态”是指系统与外界发生相互作用时,系统宏观性质发生改变的状态;“弛豫”是系统受外界作用后,从非平衡态逐渐恢复到平衡态的过程;“预热”则是分子动力学模拟中的一个步骤,它的作用是保证系统温度稳定在预定值,通常在采集数据的模拟阶段之前完成。

图5 分子动力学模拟中不同控温器及其适用场景(图片来源:作者自制)
图6给出了不同控温器作用下电流密度jn(单位是安培/米2)随液面电场En(单位是伏特/纳米)的变化曲线。从图6所示的模拟结果,可以发现在一定电场强度下,采用Langevin控温器所得到的电流密度小于其他控温器的结果;DPD控温器和Berendsen控温器作用下的结果基本一致。与Langevin控温器和Berendsen控温器相比,DPD控温器并不改变真空中离子的运动速度,不对真空中的离子施加摩擦阻力和随机力,因而更贴合实际应用的情况。对于Berendsen控温器,它通过对所有离子的速度进行缩放来实现控温,实际上也会改变真空中离子的运动,由于模拟系统真空中的离子数目较少,再加上离子在真空中运动的时间较短,Berendsen控温器对此系统中离子喷射的影响较小。喷出离子的数目在系统中总离子数的占比越大,Berendsen控温器对喷出离子运动的影响会更显著。通过分析模拟结果与控温器原理,发现了DPD控温器更适合模拟离子喷射现象。这对于工程应用有一定指导意义。

图6 电流密度随液面电场的变化:阴离子发射模式(左);阳离子发射模式(右)。蓝色、橙色和绿色分别代表Langevin、DPD和Berendsen控温器作用下的结果(图片来源:参考文献[2])
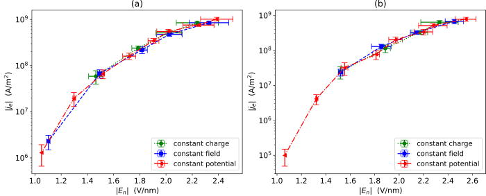
进一步,研究团队又探讨了恒电势(constant potential)、恒电荷(constant charge)与恒电场(constant field)三种施加液面电场的方法对电流密度的影响。图7是施加在液面上电场的示意图,图8则给出电流密度随液面电场的变化曲线。从图8示出的模拟结果,可以发现采用这三种方法所得到的电流密度-液面电场曲线基本一致。在以往的离子喷射分子模拟中,研究者多使用恒电势方法,而且目前国际上只有少数特定的分子模拟软件可实现恒电势模拟。但是,我们实现了三种施加液面电场方法的模拟。相比而言,恒电荷与恒电场方法在常用的开源分子模拟软件中可以直接使用。研究表明,对于平行电极-平面液膜系统(参见图4),恒电荷/恒电场方法能够较好地模拟离子喷射现象。

图7 分子动力学模拟系统中施加液面电场的示意图(图片来源:作者自制)

图8 电流密度随液面电场的变化:(a)阴离子喷射模式,(b)阳离子喷射模式(图片来源:参考文献[2])
最后,研究团队进而分析了真空中的电场E随时间t的变化规律,图9中给出了距底部电极两个不同高度处(Z=0.99纳米和Z=36.97纳米)的液面电场以及它们之间的差值。由模拟结果可以发现:由于真空中离子与液相离子液体之间的静电相互作用,真空中的离子会改变液面电场强度。离子喷射电流密度越大,液面电场波动频率越高。我们在计算中采用了周期性边界条件来模拟实际系统中的平面液膜。基于经典静电学理论,如果施加周期性边界条件,喷出离子与离子液体之间的诱导电场与真空中离子的位置无关;反之,如果不施加周期性边界条件,喷出离子与离子液体之间的诱导电场与真空中离子的位置有关。因此,在电喷射分子模拟中需要考虑周期性边界条件对液面电场和离子喷射的影响。

图9 真空中的电场随时间的变化规律(图片来源:参考文献[2])
这项研究成果为液体-真空界面离子喷射的分子模拟研究提供了支撑,并为后续探索纳米尺度下更复杂的电喷射现象奠定了基础。
参考文献
[1] Jiang X. Nonequilibrium transport of ionic liquids in electrified nanosystems[D]. Clemson University, 2014.
[2] Tao X, Jiang X. Electric-field-induced ion evaporation from the ionic liquid-vacuum interface[J]. Physics of Fluids, 2023, 35(12): 122009.
附件下载: