
力学所在极低轨飞行器动力学状态演化的研究中取得进展
近日,中国科学院力学研究所团队在极低轨风场影响下的飞行器长期飞行轨道特性演化分析研究方面取得重要进展,揭示了大气风场对极低轨飞行器轨道演化的长期影响规律,为极低轨飞行器的高精度轨道预测与高效控制提供了新方法。相关研究成果以“Evolution analysis of orbital characteristics of VLEO satellites in long-term flight under the influence of atmospheric winds”为题发表在《Acta Astronautica》。
极低轨指距地球表面100-250公里高度的轨道空间(第782次香山科学会议),是低地球轨道(LEO)向下的延伸。与传统轨道相比,极低轨具有更高的对地观测分辨率、更优的通信链路性能、天然的“自清洁”特性(卫星失效后迅速再入大气层),以及由运载能力提升和元器件要求降低带来的成本效益等巨大优势。
然而,极低轨环境也带来严峻挑战。其中最核心的问题是剧烈的大气阻力拖曳效应。在250公里高度,大气密度比600公里高处增加数千倍,飞行器需要进行长期持续轨道维持控制。非定常强波动大气与飞行器姿轨动力学状态间的相互作用,叠加地球非球形引力摄动,使得极低轨卫星的轨道演化分析变得异常复杂,尤其是长期飞行中的轨道特性演化规律尚未得到充分认识。
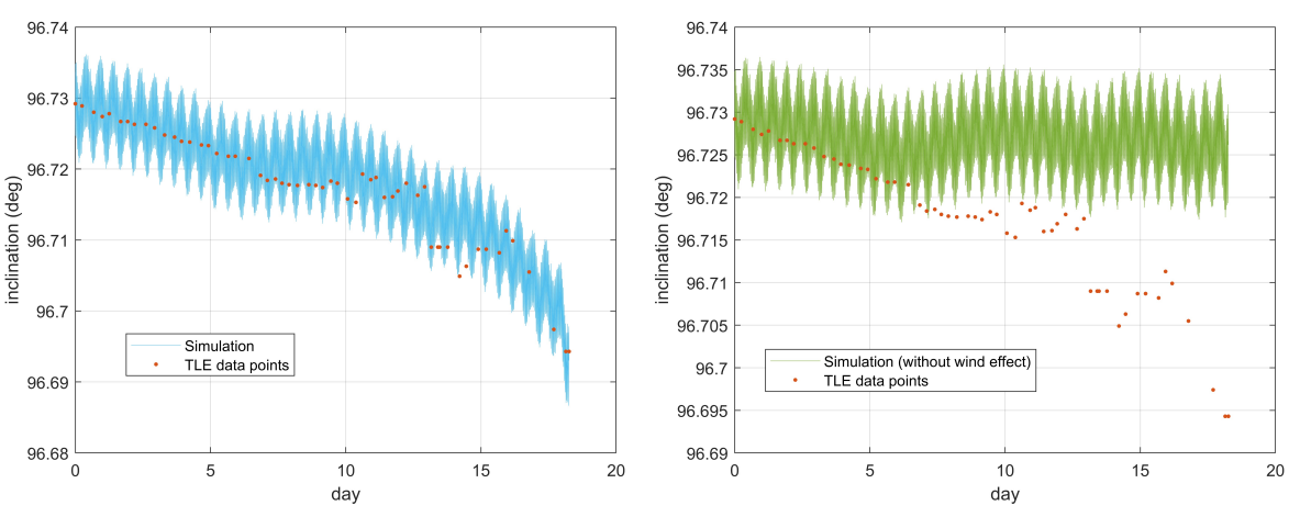
力学所研究团队发现,高层大气风场是影响极低轨飞行器轨道演化的关键因素之一。模型仿真与在轨数据分析表明,大气风场会引发卫星表面受力不对称,进而产生面外力,显著改变轨道倾角及升交点等参数特性。在长期飞行中,这种影响会累积放大,导致轨道预测产生显著偏差。研究团队通过多源耦合摄动建模与高精度数值模拟,通过解析近似和数值仿真方法量化分析了 HWM风场模型+NRLMSIS大气模型下极低轨飞行器的轨道演化规律,结果表明200-250km高度的极低轨飞行器在大气风场及非均匀密度的影响下会出现每年0.3°的倾角北向偏转,进而通过耦合地球非球形引力摄动引起轨道升交点漂移,显著提升了轨道预测的准确性并发现了轨道特性演化规律,将为先导专项试验中极低轨飞行器的轨道预报与控制等提供理论和数据支撑。
论文第一作者为力学所硕士研究生陈冠中,通讯作者为力学所特别研究助理岳宇贤博士后、力学所李文皓研究员。该研究得到了中国科学院战略性先导科技专项、中国科学院青年团队项目、国家自然科学基金等项目的支持。
论文链接:
https://doi.org/10.1016/j.actaastro.2025.12.009

图1:极低轨风场引起的横向力与轨道角动量

图2:极低轨卫星轨道倾角变化在有风场模型和无风场模型下的对比
附件下载: