
力学所在微气泡聚并标度律研究中取得进展
气泡融合聚并过程中的标度律研究在流体力学中具有重要的意义,涉及从微观初始点接触到宏观流动的跨尺度动力学行为的复杂耦合。其中,气泡聚并形成颈部的快速生长标度律Rn ~ tn,揭示了不同物理效应(如粘性、惯性、表面张力)在不同时空尺度上的竞争作用。该标度律长期存在争议,是因为从小Re数Stokes方程或者从颈部瞬态快速增长的惯性流动作用出发,会分别得到Rn ~ t1和Rn ~ t1/2两种不同的标度关系。Negal团队在10年前提出惯性约束粘性区(inertially limited viscous regime, ILVR)的概念以解释标度律从Rn ~ t1向Rn ~ t1/2过渡的可能,然而以球形气泡点接触作为初始条件的数值模拟质疑了ILVR的存在,标度率的争议尚未得到回答。
针对上述问题,力学所微纳流动团队在微气泡生成机理及聚并标度率研究中取得进展。利用独特的双气泡微马达开展实验,在横跨三个量级的Ohnesorge数范围内证实了颈部生长标度律从ILVR线性段Rn ~ t1向Rn ~ t1/2的过渡,还发现受限边界的存在会使得标度律进一步向Rn ~ t1/3转变。该成果分别以“Coalescence of microbubbles for the double-bubble-powered micromotor in viscous liquids near a confinement boundary”为题发表于流体力学期刊Flow (2025, 5: E15),以“Is the circular motion of bubble-driven spherical Janus micromotors deterministic or random?”为题发表于Physics of Fluids (2025, 37: 062020)。
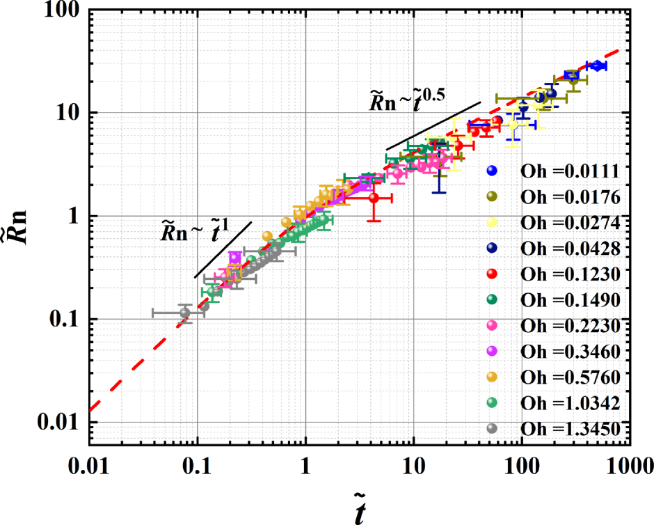
实验通过高速相机拍摄生长于Janus微马达表面的两个等尺寸微气泡(直径约50 mm)的聚并过程(图1),通过调控表面张力系数及液体粘度在较宽Ohnesorge数范围内揭示了微气泡聚并的无量纲标度律(图2),发现了从无量纲时间小于1的粘性主导线性关系Rn ~ t1向无量纲时间大于1的惯性主导关系Rn ~ t1/2转变的普适规律。通过无量纲化N-S方程推导出了上述两阶段的标度关系以及转变的无量纲时间,解释了ILVR存在的理论基础。显微实验显示两个气泡聚并早期出现Taylor-Culick型的有限尺度液桥接触,而不是近来数值模拟研究采用的点接触,表明初始接触状态会显著影响颈部生长的标度律。Janus微马达的存在还提供了研究受限边界对气泡聚并影响的条件,实验发现颈部生长晚期其标度律会进一步向Rn ~ t1/3转变(图3)。实验结果得到了VOF模拟的支撑和验证。此外,实验和模拟结合揭示了界面流动及反应传质耦合对微气泡成核点的调控机理,建立了气泡驱动微马达旋转运动的力学模型(图4)。上述结果澄清了澄清气泡或液滴聚并过程颈部生长普适标度率的争议,动力学规律还有助于阐明新型双气泡驱动微马达的流体力学机理。
力学所王雷磊助理研究员、杨丰畅副研究员为Flow文章共同第一作者,王雷磊与力学所博士生李航宇为PoF文章共同第一作者;力学所郑旭副研究员与西安建筑科技大学崔海航教授为两篇文章共同通讯作者。研究得到国家重点研发计划(2022YFF0503504),中国科学院先导专项(XDB0620102, XDA0470203)及国家自然科学基金(12302357, 12472273)的支持。
论文链接:https://doi.org/10.1017/flo.2025.11
https://doi.org/10.1063/5.0274292

图1. 观测生长于Janus微马达表面的两个等尺寸微气泡的聚并,(左)实验装置示意图;(右)聚并过程实验图像

图2. 微气泡聚并无量纲标度律:从无量纲时间小于1的粘性主导线性关系Rn ~ t1向无量纲时间大于1的惯性主导关系Rn ~ t1/2转变

图3. 边界受限会导致标度律进一步向Rn ~ t1/3转变

图4. 界面流动及反应传质耦合对微气泡成核点的调控,建立气泡驱动微马达旋转运动力学模型
附件下载: