
力学所在纳米通道形状优化方面取得进展
纳米通道作为一种重要的纳米结构,广泛存在于从生命科学到能源科学的多个学科领域,尤其在纳米传感器、能量收集、离子电路等前沿技术中展现出巨大的应用潜力。提高其输运性能与储能水平,对增强其在不同应用场景下的表现至关重要。然而,当前对影响纳米通道性能的端口效应的微观理解尚不充分,此外,尽管已经提出了一些优化通道模型,但缺乏可行的制备手段。近期,力学所团队提出了一种基于溶解的纳米通道形状优化方法,可显著提高纳米通道的输运性能与储能水平。该研究不仅为纳米通道的溶解流动现象提供了理论见解,还为优化纳米通道的实际制造提供了可行的策略。该工作以“Shape Optimization of Nanopores by Dissolutive Flow”为题发表在《ACS Applied Materials & Interfaces》期刊上。
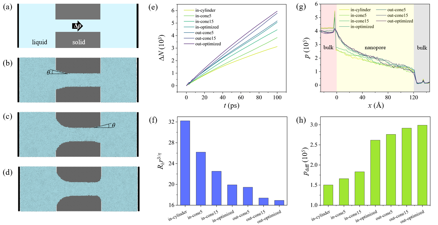
溶解可以去除阻碍溶液达到最低能量的固体粒子,是降低端口效应影响、优化纳米通道性能的有效手段。在这项研究中,研究团队采用分子动力学模拟,对纳米通道进行溶解优化,获得了通道入口和出口优化形状。通过分析通道内部的液体压强与固体应力分布,阐明了形状演变和端口效应的关联机制。在液体流动时,圆柱形入口由于较高的压强峰值而阻碍液体流入,这种现象被称为“蓄水模式”。随着溶解的进行,压强峰值显著降低,流动逐渐转变为“滑动模式”。研究中还考察了三种参数:溶解能力、流体速度和通道长度对溶解优化过程的影响,进一步阐明了纳米通道溶解优化的机理,并得到指导实际制备的规律。同时,开展了多组对照实验,得到与模拟结果相似的优化形状,证实了纳米通道制备的可行性。此外,利用模拟考察了不同纳米通道的输运性能和储能水平。通过对比发现,优化后的纳米通道可以显著降低流体动阻力,并提高充电效率。
力学所博士研究生田诗豪为论文第一作者,袁泉子研究员为通讯作者。该项研究得到了国家自然科学基金(12241205, 12032019)、中国科学院战略性先导科技专项(XDB0620101, XDB0620103)及国家重点研发计划(2022YFA1203200)的资助。
论文链接:
https://pubs.acs.org/doi/10.1021/acsami.4c22605

图1 (a) 纳米通道溶解模拟的轮廓演化;(b) 溶解粒子数变化;(c) 不同部分的半径变化;(d, e) 优化入口、出口的形状拟合

图2 不同进出口形状纳米通道的输运测试。(a) 模拟系统示意图;(b-d) 不同形状通道的原子视图;(e) 不同通道的累计通量变化;(f) 不同通道的水动力阻;(g) 不同通道的液体压强分布;(h) 不同通道的进出口压差

图3 不同进出口形状纳米通道的储能测试。(a) 模拟系统的原子视图;(b) 不同电极在充电过程中的总电荷演化;(c) 左:不同电极的电容量,右:不同电极的充电时间;(d) 不同电极的充电速率 ξ
附件下载: