
力学所在空间引力波探测相位计研究中取得进展
在空间引力波探测中,级联积分梳状(CIC)抗混叠滤波器总是被用于相位计的抗混叠降采样。然而,CIC滤波器的通带并不平坦,这意味着不同频率下的衰减不同。因此,在需要对相位真值高精度测量的领域,如差分波前传感(DWS),传统的降采样方法并不适用。近日,力学所研究团队采用一种基于CIC插值二阶多项式(ISOP)架构的滤波器,用于补偿衰减效应。相关研究成果以“Optimization Design of Decimation Filter for the Phasemeter in the Space Gravitational Wave Detection”为题,发表在IEEE Transactions on Instrumentation and Measurement。
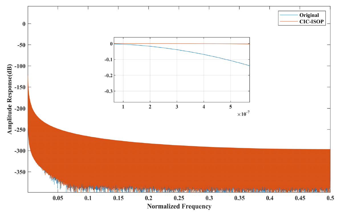
空间引力波探测主要关注在0.1mHz-1Hz的频段内引力波,要求距离测量达到1 pm/Hz1/2,对应的相位噪声水平为2π μrad/Hz1/2。目前国内外相位计的研究,噪声水平均能达到2π μrad/Hz1/2。但在空间引力波探测的角度传感中不仅对噪声水平提出了需求,同时对角度的绝对精度提出了严格限制。系统测角精度需达到10nrad,相对应的相位计抗混叠滤波器在0.1mHz~1Hz内的最大衰减需小于8.7×10-4 dB。而现有相位计系统在对应频段内的最大衰减达到了0.1072dB,约有3个量级的差距,无法满足引力波探测需求。团队提出了CIC-ISOP的抽取滤波方案,使相位计在0.1mHz~1Hz内的最大衰减有了大幅度改善,满足引力波探测8.7×10-4 dB的需求。
力学所联合培养博士生杨润为论文第一作者,刘河山副研究员为论文通讯作者。研究获得了科技部重点研发计划青年科学家项目(2023YFC2206200)的资助。
文章链接:https://doi.org/10.1109/TIM.2024.3453345

图1 CIC-ISOP和原抽取方案的通带衰减

图2 改进前后的相位计绝对精度测量结果
附件下载: