
力学所提出海上风力机大直径单桩基础局部冲刷深度时变预测理论模型
海上风能是一种重要的可再生能源,安全高效开发海上风能是实现我国能源转型和双碳目标的重要举措。在复杂海洋动力环境中,海上风力机大直径单桩基础(直径5~12米)周围可出现深度超1.5倍桩径的巨型冲刷坑,严重威胁风力机整体安全。局部冲刷深度的准确预测,成为大直径单桩基础分析设计的关键问题之一,直接影响海上风机整体结构的抗倾覆性能。力学研究所流固耦合系统力学重点实验室(LMFS)流固土耦合力学课题组前期开展了大直径单桩基础极限平衡冲刷深度方面的研究,提出了基于波流耦合特征流速定义的无量纲Froude数,建立了基于该参数的极限平衡冲刷深度经验分析模型,突破了以往基于波浪KC数的模型框架。
近年来,海洋基础结构全生命周期安全评价与设计得到产业界和研究人员的关注;准确预测大直径单桩基础冲刷深度随时间的演化,对于开展风力机全生命周期安全分析具有重要意义。现有的桩基冲刷深度时变模型要么采用纯经验数据拟合,无法反映拟合公式背后的物理机制,存在尺度效应;要么基于平床输沙模型构建半经验公式,忽略了桩基周围大尺度流场结构的影响,预测精度和普适性较差。此外,海上风力机在实际工程环境中一般受流速连续变化的潮流作用,水流方向会发生周期性逆转;由于潮汐现象的复杂性,研究中一般需要对流速时程曲线进行简化,而这种简化的影响目前尚不明确。针对上述问题,LMFS流固土耦合力学课题组结合理论分析和物理模型试验等手段,进一步对单向恒定流和双向往复潮流作用下桩基局部冲刷发展过程进行研究,揭示了桩基局部冲刷深度随时间的演变规律,为海上风力机大直径单桩基础周围冲刷深度时变预测提供了理论模型。
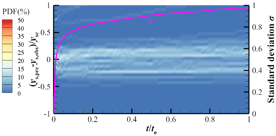
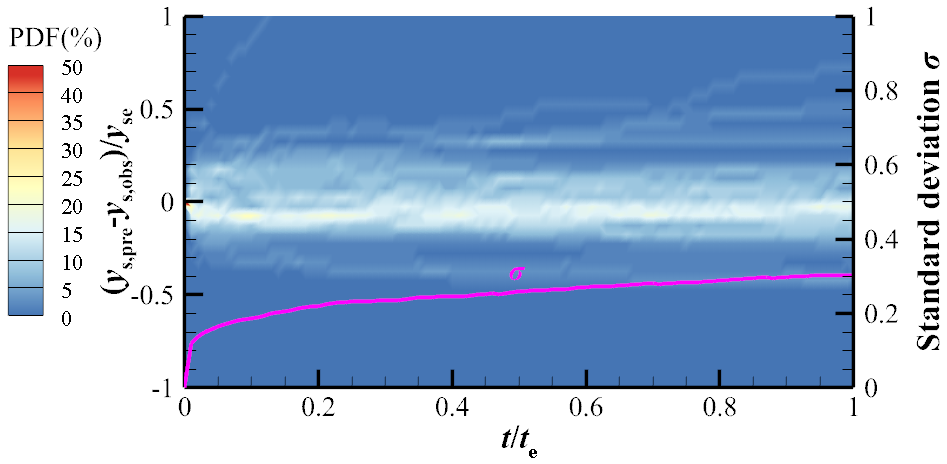
桩基局部冲刷时变预测的核心难点,在于如何科学反映冲刷发展过程中扰流流场结构、床面剪应力、泥沙输移率、冲刷地貌随时间协同演化的强耦合效应。针对该问题,研究人员从基本的Kolmogorov湍流唯象理论出发,建立了桩基冲刷坑附近泥沙输移率与大尺度马蹄涡特征尺寸和冲刷深度之间的关联关系(图1)。进一步基于桩基-海流相互作用的能量原理,并结合泥沙输移质量守恒方程,建立了具有物理内涵的桩基冲刷深度随时间演化的微分方程,并求解获得冲刷时变发展的显式理论解和无量纲冲刷特征时间尺度的解析表达,理论结果得到了十余篇文献中近百组实测数据及现场监测结果的验证。冲刷时变预测理论模型突破了传统经验模型的内禀尺度效应,预测精度和通用性大幅提升(图2),可用于原型大直径桩基冲刷深度发展预测。同时,该模型具有良好的扩展性,目前已成功拓展至黏土海床条件下的桩基冲刷时变预测,并正在开展基于物理-数据融合驱动的复杂海洋环境条件下冲刷时变预测研究。
在大型海洋工程流固土耦合波流水槽中开展典型潮流条件下的桩基冲刷试验,系统揭示了双向往复潮流作用下的桩基局部冲刷特性。单桩基础局部冲刷的发展受潮流类型、流速和周期等因素的影响,水流方向的周期性变化导致单桩基础处于不断的冲刷和回填演变过程。试验模拟常用的简化方形潮流在初始阶段表现出较高的冲刷发展速度,而接近现场实际的正弦潮流由于特殊的速度变化,其初始时刻的冲刷发展速度为零,直到流速超过特定阈值才开始冲刷;流速的独特变化过程导致正弦和方形潮流分别呈现出“短平台”和“锯齿状”特征。基于无量纲有效流功的概念,揭示了无量纲桩基冲刷深度与有效流量功的一致性关联关系,进一步建立了正弦和方形潮流的等效方法(图3),并将潮流冲刷深度与相同流速下的单向流冲刷深度进行关联分析,提出了潮流和单向流冲刷深度之间的等效关联公式。
以上研究得到了国家自然科学基金(11972036; 11825205)和中国科学院青年创新促进会项目(2021018)资助。论文发表于海洋工程领域权威期刊Coastal Engineering, 2024, 190: 104511;Coastal Engineering, 2024, 191: 104533;Ocean Engineering, 2024, 306: 117963上。第一作者王顺意为中国科学院力学研究所博士研究生,通讯作者为漆文刚副研究员,论文指导老师为高福平研究员和漆文刚副研究员。
文章链接:
https://doi.org/10.1016/j.coastaleng.2024.104511
https://doi.org/10.1016/j.coastaleng.2024.104533
https://doi.org/10.1016/j.oceaneng.2024.117963

图1 基于湍流唯象理论的冲刷深度时变模型推导思路

(a)

(b)

(c)
图2 误差PDF分布和标准差随无量纲时间(t/te)的变化,时变预测模型来源于: (a) 本研究; (b) Kothyari et al. (2012); (c) Mia and Nago (2003)

图3 不同海流条件下无量纲冲刷深度随无量纲有效功的变化
附件下载: