
力学所在高超声速边界层理论方面取得进展
边界层理论可准确的预测近壁面流动,已在流体分离、气动热/摩阻预测、边界层转捩、流动稳定性等研究方面发挥了重要作用。然而,可退化到常微分方程求解的边界层理论特例较为有限,常见的有平板、驻点、圆柱或锥体等相对简单流动。
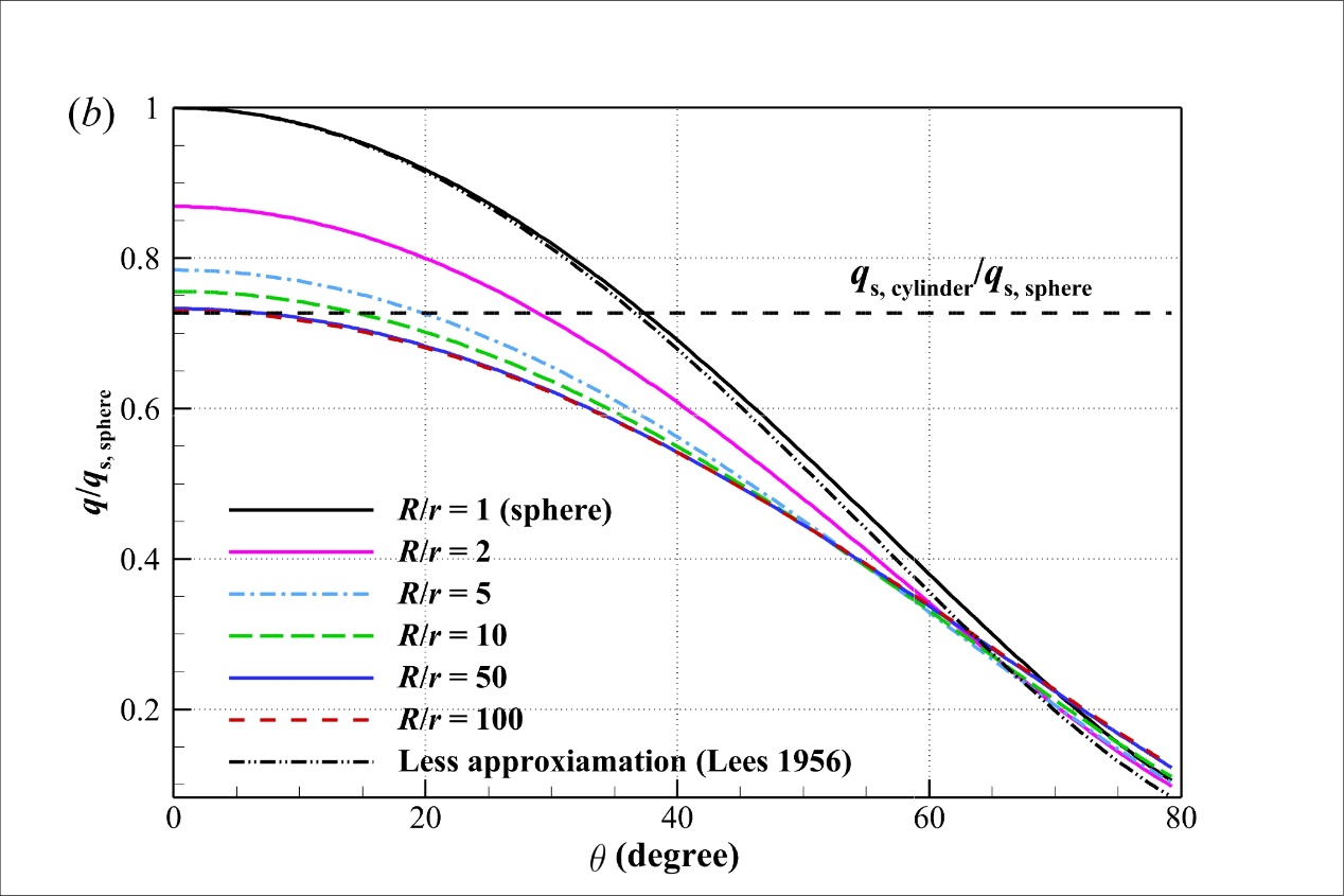
力学所高焓气动物理与应用研究团队基于主曲率坐标系推导了对称面边界层方程,并基于牛顿理论推导了高超声速条件下对称面边界层外缘切向速度梯度,进而可采用常用方法来将本文理论方程退化到ODE方程求解。该工作以“Hypersonic boundary layer theory in the symmetry plane of blunt bodies”为题发表在Journal of Fluid Mechanics期刊上。
本文所推导的对称面边界层方程是在主曲率坐标系下,考虑几何和流动对称来对三维边界层方程进行简化;该方程适用于可压缩流动范围,包括亚声速、超声速和高超声速流动。本文理论包含现有特例边界层方程,如平板、驻点、尖锥等,且在同一坐标系下;该理论也适用于更普适性的模型对称面。求解方程所需的边界层外缘参数中,切向速度梯度未见普适性表达且数值求解难度较大。在高超声速条件下,本文基于牛顿理论首次推导其理论表达式。
力学所汪球高级工程师是论文第一作者、李进平高级工程师为通讯作者。该工作得到中国科学院战略性先导科技专项(XDB 0620203)、国家自然科学基金(12072352、12232018)、中国科学院青年创新促进会(2021020)和广东省重点领域研发计划(2021B0909060004)的资助。
论文链接:DOI: https://doi.org/10.1017/jfm.2024.708

图1 “鸭嘴”类前缘外形对称面气动热理论结果
附件下载: