
力学所在圆柱型锂电池服役过程力热表现的尺寸效应研究方面取得新进展
在新能源动力电池领域,大尺寸全极耳圆柱电池因其高能量密度、高成组效率等显著优势,在近年来备受关注。相比于传统尺寸圆柱电池,大尺寸圆柱电池具有更高的产热量和更严重的电芯形变。作为典型的复杂工程体系,电池的生产设计涉及多尺度、多物理场耦合的科学问题,这使得目前各类大尺寸圆柱电池,仍缺乏多物理场耦合的底层安全设计架构,限制了其电化学性能与安全性的进一步提升。
力学所非线性力学国家重点实验室的研究团队建立了大尺寸圆柱电池单体的数字孪生模型,为大尺寸圆柱锂电池的服役安全设计提供了理论指导。相关成果以“Size effect on the thermal and mechanical performance of cylindrical lithium-ion batteries”为题发表在能源类权威期刊Applied Energy上。
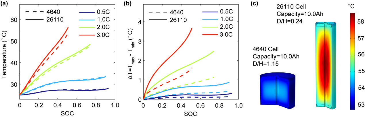
研究团队通过参数化几何结构,使用力-热-电-化多物理场耦合仿真方法,建立了大尺寸圆柱电池单体的数字孪生模型(图1),揭示了尺寸变化对圆柱锂离子电池能量密度、产热行为和力学行为等服役性能的影响。具体表现为:增大电池直径或高度可同时提升电池理论容量与体积能量密度,质量能量密度也随高度增大而升高,但随着直径的增大,质量能量密度将先升高后减小(图2);由于散热路径的影响,圆柱电池的热性能可通过径高比(D/H)进行表征,在同容量的前提下,径高比较大的电池在高充放电倍率下具有更低的平均内部温度与更低的温度梯度(图3);正极与负极不匹配的嵌(脱)锂形变会使电芯产生内压外拉的应力状态,增大电池直径将显著恶化该应力状态,造成内层电芯坍缩和外层电芯断裂的风险(图4)。值得注意的是,圆柱电池单体直径的选择,需在能量密度、产热行为与力学行为之间进行权衡。
力学所博士研究生刘锦为论文第一作者,陈春光副研究员和魏宇杰研究员为共同通讯作者。该工作得到了国家自然科学基金委(No. 11988102, 12002343)、中国科学院力学所力星计划(No. E1Z1010901)、北京市重点专项(Z240001)等项目的资助。
论文链接:https://doi.org/10.1016/j.apenergy.2024.124056

图1.(a)大尺寸全极耳圆柱电池示意图,(b)伪二维电化学模型,(c)二维轴对称传热模型,(d)一维轴对称热力耦合模型

图2.圆柱电池能量特性随尺寸的变化规律(a)理论容量,(b)体积能量密度,(c)质量能量密度

图3.不同充电倍率下4640与26110电池的温度演化(a)电芯平均温度,(b)电芯温度梯度,(c)电芯内部温度分布云图

图4.满充状态下4640电池与26110电池的内部应力应变(a)电芯各层环向应变,(b)负极集流体铜箔的环向应力,(c)电芯内部径向位移云图
附件下载: