
力学所在高燃面退移速率固体燃料研究中取得进展
近日,力学所研究团队在石蜡基复合燃料药柱燃面退移速率提升技术研究中取得重要进展。该研究成果以“Superior Al90Mg10-Based Composite Fuel Grain for a Hybrid Rocket Engine”为题近期发表于AIAA系列期刊Journal of Spacecraft and Rockets(https://doi.org/10.2514/1.A35948)。
本工作提出双元推进剂特征界面驱动固液火箭发动机高效燃烧理念,首先完成金属基(Al90Mg10)多螺旋叶片骨架结构制备,通过内嵌高燃速石蜡基燃料,构建金属-石蜡界面以及复合药柱成型;然后通过实验研究,不仅全面评估了该复合药柱的力学及燃烧特性,还发展了高温高压内窥辐射成像及光谱测量技术,辨析了药柱燃烧过程中的火焰结构和金属燃烧行为。
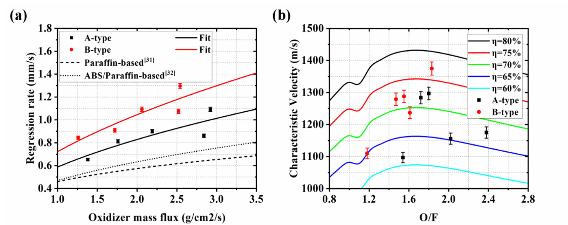
实验结果表明:该复合药柱点火迅速,燃烧稳定,燃面退移速率显著优于单组元石蜡基药柱,提升幅度可达100%。Al90Mg10基螺旋骨架优异的可燃性使其可作为一种能够显著强化石蜡基复合药柱燃烧性能的高能结构,极具发展潜力,而骨架结构的针对性设计与修饰也可应用于发动机燃烧控制。
王泽众助理研究员为第一作者,林鑫高级工程师为通讯作者,该工作获得了国家自然科学基金、广东省重点领域研究与发展计划,中国科学院青年创新促进会的支持。

图1 金属强化复合药柱设计的演变
图2 (a)有无二级结构修饰的金属螺旋结构基体和(b)嵌套石蜡基燃料成型后的药柱

图3 (a)各型药柱燃面退移速率对比与(b)特征速度随O/F变化趋势

图4 二级结构修饰下的金属强化复合药柱燃烧过程辐射发光成像

图5 (a)结构修饰与(b)结构未修饰下的固液火箭发动机燃烧过程羽流发射光谱结果对比
附件下载: