
“数据+知识”驱动的湍流模拟:分离湍流大涡模拟模型研究进展
非均衡湍流广泛存在于能源、环境、国家安全等重大需求,对工程设计具有重要影响。发展准确、高效的非均衡湍流模拟方法是湍流研究的前沿方向,准确计算壁面切应力是发展分离湍流大涡模拟模型的关键。近期,中国科学院力学研究所非线性力学国家重点实验室团队联合宾夕法尼亚州立大学学者发展了曲面湍流壁面切应力计算的神经网络模型,并将其成功应用于不同坡度、不同雷诺数的周期山湍流壁面切应力预测和不同雷诺数槽道湍流的壁面模化大涡模拟。相关研究成果发表于流体力学领域重要期刊《流体物理评论》(Physical Review Fluids)和《流体物理》(Physics of Fluids)。
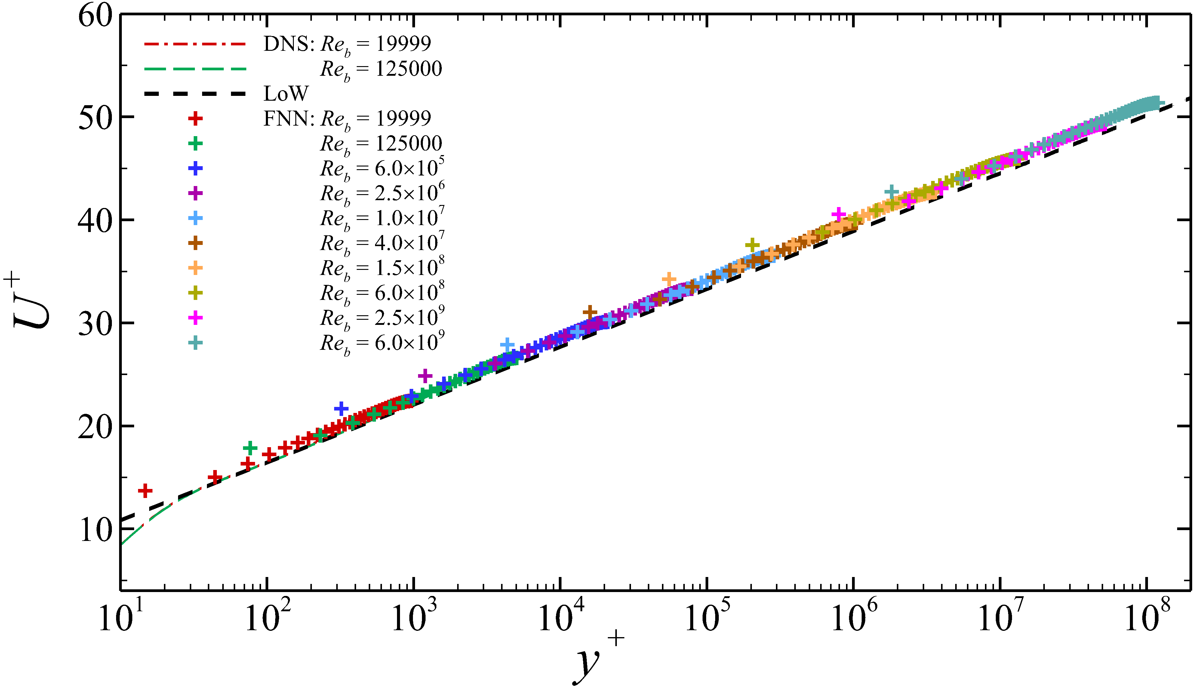
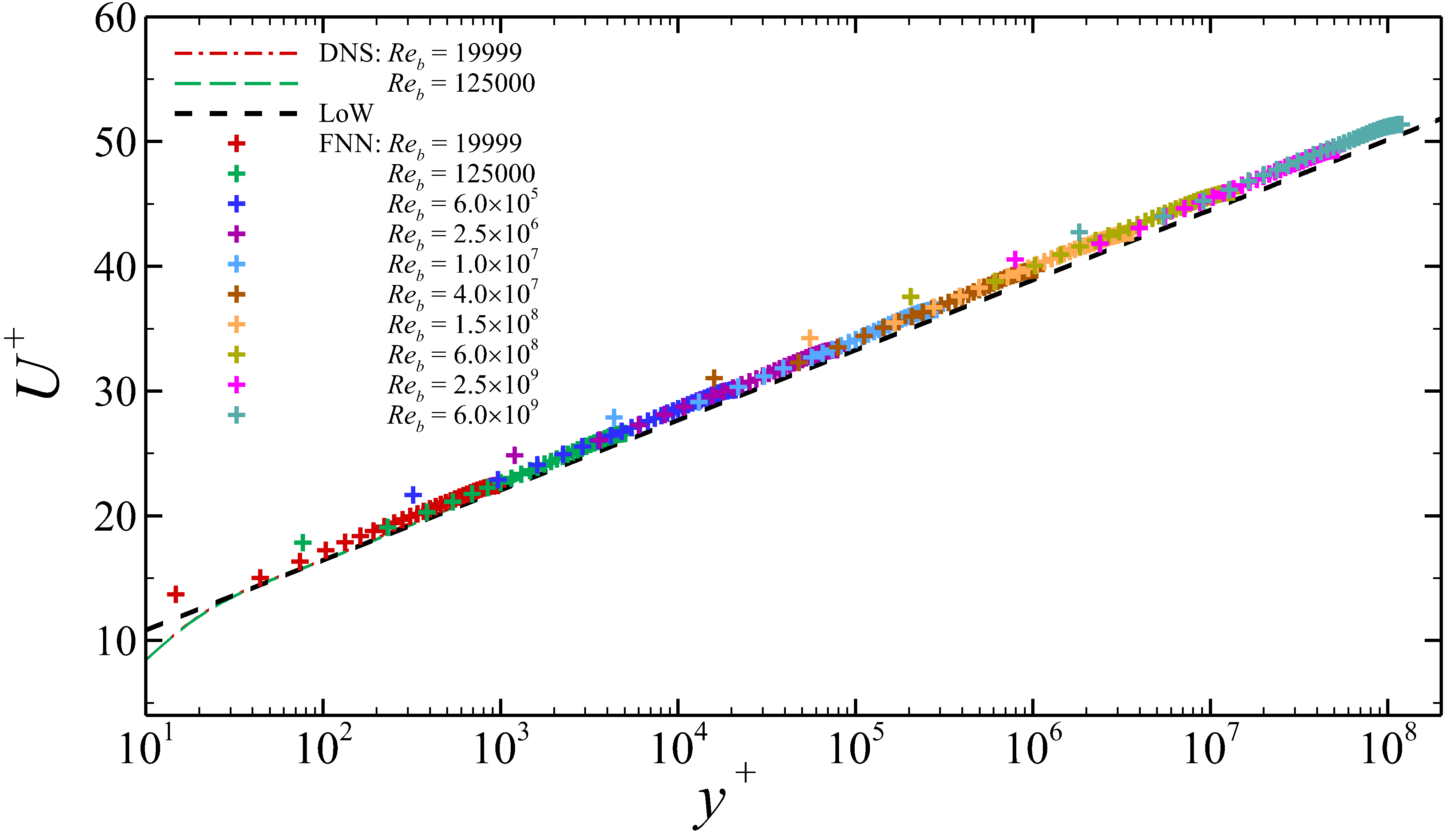
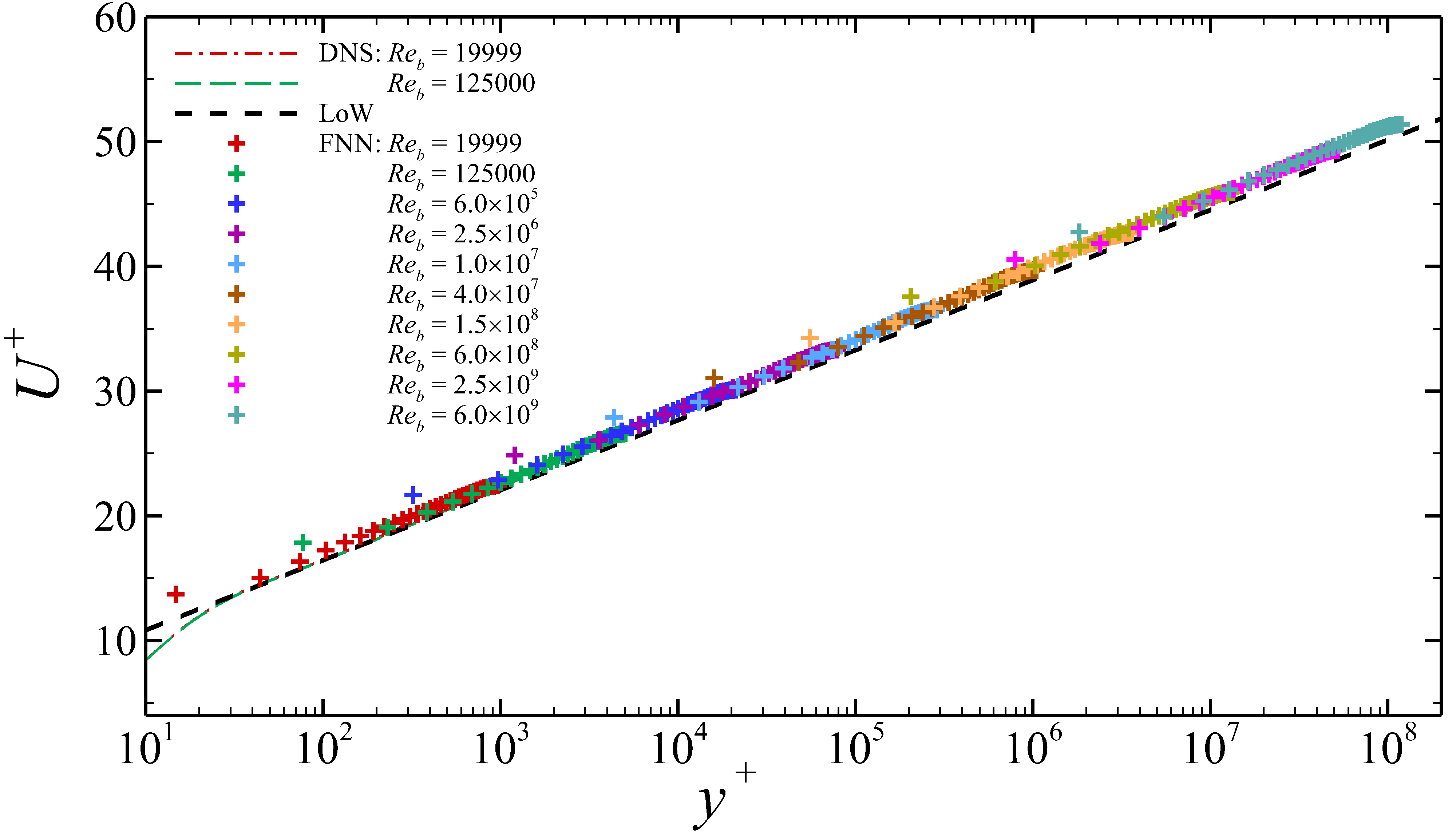
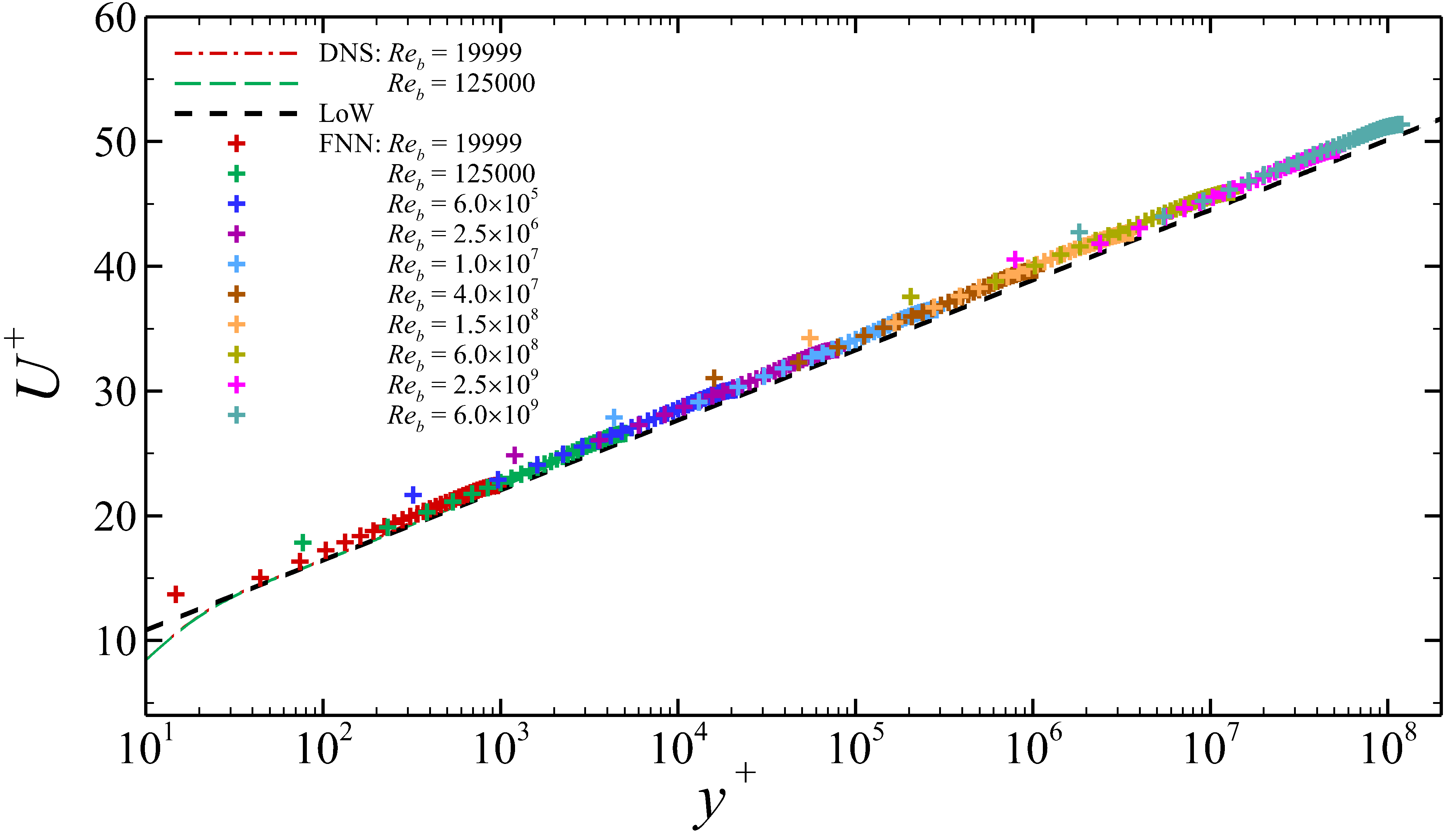
分离湍流是一种典型的非均衡湍流,具有逆压梯度、曲面边界等特征,基于均衡假设的经典湍流模型不再成立。准确计算壁面切应力是发展分离湍流大涡模拟模型的关键。研究团队提出的模型结合高可信度模拟数据和经典壁面律,同时适用槽道湍流等均衡湍流和经典模型失效的分离湍流。其主要特色在于在输入特征中考虑多点近壁速度和压力梯度信息,并基于已知流动物理对输入特征进行标度,从而克服了基于单点信息的经典模型难以准确刻画分离湍流的近壁流动特征的缺陷,具备较好的泛化能力。
研究工作得到国家自然科学基金基础科学中心项目“非线性力学的多尺度问题研究”(No. 11988102)、国家自然科学基金(No. 12172360, 12002345)和国家重点工程项目(No. GJXM92579)资助。
论文链接:
https://doi.org/10.1063/5.0143650
https://doi.org/10.1103/PhysRevFluids.6.054610
"Data + Knowledge"-Driven Turbulent Flow Simulations: Research Progress on Large-Eddy Simulation Model for Separated flows
Turbulence is an important fluid mechanics problem in areas such as energy, environment, and national security. Flow separation is a widely observed phenomenon in turbulence, exhibiting strong non-equilibrium characteristics and complex mechanisms. Classical turbulence models based on equilibrium assumptions are no longer valid. The development of accurate and efficient methods for the simulation of non-equilibrium turbulence is at the forefront of turbulence research, holding crucial significance for understanding the evolution mechanisms of turbulent flow structures and predicting turbulent flows in engineering.
Recently, a collaborative effort between the State Key Laboratory of Nonlinear Mechanics at the Institute of Mechanics, Chinese Academy of Sciences, and scholars from Pennsylvania State University resulted in the development of a neural network model for calculating wall shear stress in flows with curved boundaries. The model was successfully applied to predict wall shear stress in flows over periodic hills with different slopes and Reynolds numbers and to simulate turbulent channel flows at various Reynolds numbers. The model, combining high-fidelity simulation data with the law of wall, takes into account the non-equilibrium flow characteristics that lead to the failure of classical models, while simultaneously satisfying the law of wall for equilibrium turbulence. Classical models typically estimate wall shear stress using near-wall single-point data, which struggles to accurately reflect the near-wall flow characteristics in non-equilibrium conditions. The proposed model considers multi-point near-wall velocity and pressure gradient information in input features and scales them based on known flow physics, effectively capturing near-wall flow characteristics with good generalization capabilities.
The related research outcomes were published in the prestigious fluid dynamics journals Physical Review Fluids and Physics of Fluids. The research was supported by the National Natural Science Foundation of China through the Basic Science Center Project "Multiscale Problems in Nonlinear Mechanics" (No. 11988102), the National Natural Science Foundation (No. 12172360, 12002345), and the National Key Engineering Project (No. GJXM92579).
[1] Zhou Z, Yang XIA X, Zhang F, & Yang* X. A wall model learned from the periodic hill data and the law of the wall. Physics of Fluids, 2023, 35, 055108.
[2] Zhou Z, He G, & Yang* X. Wall model based on neural networks for LES of turbulent flows over periodic hills. Physical Review Fluids, 2021, 6(5), 054610.
Figure 1. High-fidelity simulation data of turbulent flows over periodic hills for model training.
Figure 2. The developed model accurately computes wall shear stress for periodic hills with different slopes.
Figure 3. The developed model successfully applied to turbulent channel flows for a wide range of Reynolds Numbers.
附件下载: