
力学所提出适用于描述核用钢高温循环应力松弛的新本构模型
高温结构材料在先进核反应堆的发展中扮演着重要角色,因此对其进行精确的安全评估至关重要。然而,现有的弹性评估方法过于保守,难以适用于先进核反应堆的结构安全评估。迫切需要开发一种更为准确的“非弹评估方法”。其中,非弹评估方法的核心之一是开发高温非弹本构模型,以描述结构材料在复杂加载条件下的高温变形行为。高温环境下,结构材料不仅会经历单向或循环的塑性变形,还会受到蠕变、以及蠕变与塑性变形之间相互作用的影响。虽然现有的高温本构模型能够较好地描述单独的塑性变形或蠕变,但对于蠕变与塑性变形之间的相互作用的描述仍然具有挑战性。
针对这一问题,中国科学院力学研究所刘小明研究员团队提出了一种在统一型本构模型框架下的新模型,该模型基于松弛过程变形机制,首次将时间因素引入随动硬化模型的静态恢复项,从而实现了对不同循环周次以及长周期应力松弛曲线的准确预测。另外,该工作给出了标定本构模型参数的有效方法,其成果有望应用于“非弹评估方法”。
该工作克服的难点在于如何改进已有的Chaboche本构模型,以描述不同加载周次和持续时间下的松弛现象。结构金属材料在高温松弛过程中,位错会发生静态恢复,导致位错密度降低以及对应应力水平下降。在经典的Chaboche模型中,静态恢复项被用来描述应力松弛现象。然而,由于静态恢复项的参数是常数,经典的Chaboche模型无法准确描述应力松弛随着循环周次变化的关系。为了解决这一问题,前人将静态恢复项的参数变成了累积塑性应变的函数,以更好地描述应力松弛的变化关系。然而,这一改进后的本构模型仍然无法有效地描述长周期的松弛现象。为了克服这一挑战,该工作提出了引入时间因素的本构模型。其中:
模型改进。在基于松弛过程的物理变形机制的基础上,对随动硬化方程的静态恢复项进行了改进,引入了时间的影响。金属材料在高温下的应力松弛与静态恢复密切相关,其主要物理机制包括高温下位错的攀移和热激活位错的滑移。从动力学角度来看,在位错松弛过程中的演化规律不仅与初始位错密度有关,还与演化时间相关。因此,在宏观力学响应方面,松弛应力不仅与累积塑性应变相关,还与时间相关。基于此,将静态恢复项的参数设置成与累积塑性应变和松弛时间相关的函数。这一改进能更准确地反映金属材料在高温条件下的应力松弛行为,从而提高模型的可预测性和适用性。
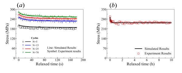
参数标定。在本构模型中,静态恢复相关参数的标定通常采用传统的“试错法”。然而,团队的本构模型涉及多个静态恢复相关参数,且这些参数之间相互耦合,传统的试错法已无法满足标定的需求。因此,团队引入了机器学习的方法,并在贝叶斯反演的框架下,利用循环应力松弛和长时间应力松弛试验的结果,成功地获得了相应的参数值。如图1所示,通过贝叶斯反演获得的参数值能够出色地描述不同循环次数和长周期下的应力松弛响应。此方法能够更精确地确定模型参数,提高模型的准确性。
图1:模型与试验结果对比:(a)循环保载下不同循环周次的松弛曲线;(b)200周次低周疲劳后长时松弛曲线
为了验证团队的本构模型在“非弹性评估”中的适用性,团队将模型在多轴加载条件下的计算结果与实验结果进行了比较。如图2所示,团队使用缺口试样进行了复杂加载路径下的对比,而图3展示了棒状材料在拉伸和扭转加载下的对比结果。可以看到,团队开发的本构模型能够准确地描述材料在多轴应力状态下的高温变形行为。
图2:缺口试样模型与试验结果对比:(a)试样尺寸;(b)加载条件;(c)低周疲劳阶段峰值应力演化;(d)长时保载阶段应力松弛;(f)循环保载阶段峰值应力演化;(g)循环保载阶段稳定时滞回曲线

图3:循环拉扭加载模型与试验结果对比:(a)轴向加载峰谷值演化;(d)轴向稳定时滞回曲线;(c) 扭向加载峰谷值演化;(g) 扭向稳定时滞回曲线
相关成果以Machine learning informed visco-plastic model for the cyclic relaxation of 316H stainless steel at 550oC为题,发表在塑性力学领域权威期刊International Journal of Plasticity。中国科学院力学所特别研究助理杜柔为论文第一作者。该研究得到了国家自然科学基金(12022210,12032001)、国家自然科学基金委员会基础科学中心项目“非线性力学中的多尺度问题”(No.11988102)和中国科学院青年创新促进会(2018022)的资助。
原文链接:
https://doi.org/10.1016/j.ijplas.2023.103743
附件下载: