
力学所在微纳颗粒热泳机理研究中取得进展
微纳尺度颗粒在物理场梯度作用下进行泳动是微流控中实现颗粒输运和操控的重要手段。基于温度梯度进行热泳是个经典的问题,但颗粒界面附近温度梯度的产生往往还同时伴随浓度和电场梯度,使得热泳机理和规律研究存在严重挑战。微纳颗粒热泳速度uT与温度梯度成正比,即uT=-DT▽T,其中热泳迁移率DT是决定颗粒对温度梯度响应及运动快慢的重要参数。以往研究中更多采用Soret系数ST(ST=DT/D,D为颗粒的扩散系数)来描述热泳的规律。然而,由于热泳机理复杂,涉及双电层离子输运、热电效应、溶液中分子耗散力等作用,Soret系数ST的影响因素和变化规律存在很大的争议。近年来,采用温度梯度进行局部纳米药物递送以及通过光热效应进行颗粒运动操控等新技术的兴起,使得澄清微纳颗粒热泳的基本规律变得更为迫切。
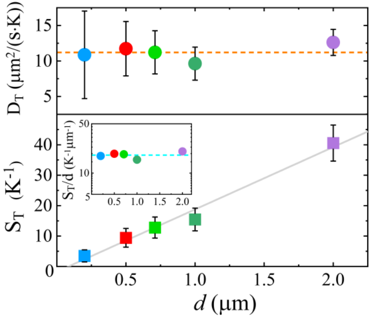
中科院力学所非线性力学国家重点实验室微纳流动研究团队设计微流控芯片建立0.05-0.1K/mm的均匀稳定的温度梯度(图1),通过系统的实验测量发现:(1) Soret系数ST与颗粒粒径d成线性关系(图2),意味着热泳迁移率DT是由颗粒界面属性主导的常数。(2)在受限空间(如微流控芯片)中,边界表面会在温度梯度下发生热渗,忽略该流动会导致对颗粒热泳的方向和量级做出错误的评估(图3)。本实验采用疏水高聚物材料作为壁面,发现滑移作用可导致热渗流提高一个量级以上。(3)通过对不同生物颗粒(细胞外泌体和蛋白质纳米颗粒)的实验,发现颗粒表面疏水性也会将颗粒的热泳迁移率和Soret系数提高数倍(图4)。研究结果有助于澄清以往存在的热泳规律的争议,提出了通过表面疏水性大幅增强热泳/热渗的可能,为发展基于热泳的生物颗粒微芯片检测技术奠定了基础。
该研究成果以“Surface hydrophilicity-mediated migration of nano/microparticles under temperature gradient in a confined space”为题发表于Journal of Colloid and Interface Science。中科院力学所郑旭副研究员和纳米中心施兴华研究员为共同通讯作者,纳米中心徐浩兰博士为第一作者。此工作得到了国家自然科学基金、中科院前沿科学重点研究计划、中科院B类战略先导科技专项等项目的资助。
论文链接:https://doi.org/10.1016/j.jcis.2023.01.112
图1. 微流控芯片及其中温度梯度的建立
图2. 聚苯乙烯颗粒的热泳迁移率和Soret系数实验测量结果
图3. 受限空间的边界上产生热渗流可以调控颗粒的热泳,而通过边界滑移可以进一步增强该热渗
图4. 疏水蛋白质颗粒(绿色倒三角)的热泳比亲水外泌体(蓝色方块)快约4倍,而二氧化硅(红色圆圈)的热泳迁移率和Soret系数均为负
附件下载: