
力学所在槽道湍流壁面压力脉动研究中取得进展
近期, J. Fluid Mech.刊登了中科院力学所杨子轩研究团队在槽道湍流壁面压力方面的研究进展,论文题目为《槽道湍流中壁面压力的时空能谱》(On the wavenumber-frequency spectrum of the wall pressure fluctuations in turbulent channel flow)。
壁面压力的时空谱是壁湍流中湍流噪声的主要声源之一,因此成功预测壁面压力时空谱是气动噪声预测的前提。由于通过直接数值模拟(DNS)计算壁面压力时空谱需要较大的计算资源与存储空间,目前文献中壁面压力时空谱的DNS研究仅局限于 的低雷诺数情况。本研究计算了 的槽道湍流DNS及相应的壁面压力时空谱,提出了壁面压力时空谱的随机下扫模型,最后利用DNS数据分析了快变、慢变压力互相关项对于总压力谱的贡献。
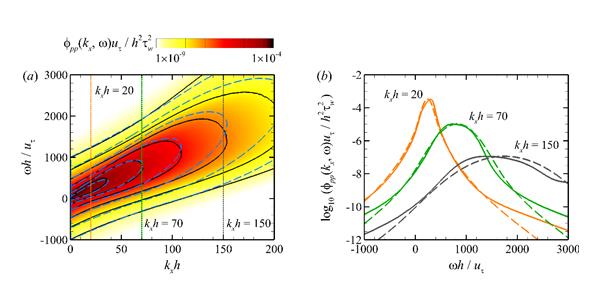
与速度类似,平均速度对流以及大尺度的随机下扫作用是壁面压力时间去关联的两个主要机制。因此,壁面压力时空谱可以采用随机下扫模型描述,表示为波数谱与高斯频率分布的乘积。该模型中三个速度尺度分别取为壁面压力的平均对流速度以及缓冲区中心( )处的脉动速度,不含任何可调参数。图1对比了壁面压力时空谱的DNS结果与随机下扫模型的结果,证实了随机下扫模型可以很好地得到壁面压力时空谱的含能区性质。
根据压力泊松方程源项的不同,壁面压力时空谱可以分解为快变部分、慢变部分与交叉部分。在之前的研究中,交叉项通常被认为可以忽略。然而这一假设并未经过充分的验证。利用DNS数据,此研究计算并详细研究了忽略快变、慢变压力交叉项所带来的误差。分析表明,忽略交叉项会在亚对流区造成高达4.7分贝的误差(等价于195%相对误差),且不同雷诺数下这一误差峰值在粘性尺度无量纲下几乎是重合的。这表明这一误差峰产生于近壁的粘性区与缓冲区。
以上研究获得国家自然科学基金基础科学中心项目“非线性力学的多尺度问题研究”(基金号11988102)资助。
论文链接:doi:10.1017/jfm.2022.137。

图1. 壁面压力时空谱的DNS结果(实线)与随机下扫模型(虚线)的对比:(a)流向波数-频率时空谱;(b)流向波数为 的截面对比
附件下载: