
力学所在螺旋湍流研究中取得进展
螺旋度的定义为速度与涡量的标量积,螺旋湍流指的是平均螺旋度或局部螺旋度不为0的湍流流动状态,广泛存在于龙卷风、台风等自然现象以及航空发动机、离心泵等旋转机械流动中。作为欧拉方程的最后一个里程碑,螺旋度守恒性定理的发现为系统研究三维湍流的时空演化提供了新的研究方向。作为三维湍流仅有的两个二次无粘不变量之一(另一个为动能),Noether定理决定了螺旋度具有时空多尺度分布和多尺度多方向手性间的传输特征。
中国科学院力学研究所可压缩转捩与湍流课题组于长平等长期致力于螺旋湍流的理论及数值模拟研究工作,以螺旋度为视角,在揭示湍流物理本质、建立大涡模拟模型等方面,取得了系列重要进展。
在湍流级串理论方面,课题组首次发现螺旋度级串具有双通道效应,该理论丰富和完善了湍流级串的涡动力学过程,以新的视角来解释能量反级串问题;针对湍流经典级串理论未考虑镜像破却的缺陷,发展了螺旋湍流的尺度局部性理论,证实了在镜像破却条件下湍流小尺度流动具有普适性的规律等;突破压力破坏方程守恒性的障碍,发展可压缩螺旋湍流动能与螺旋度的联合级串理论,理论上证明基于螺旋度所建立的大涡模拟模型可采用更少的计算网格量等。
图2 动能(a)与螺旋度(b)的尺度传输函数系综平均在不同尺度的分布
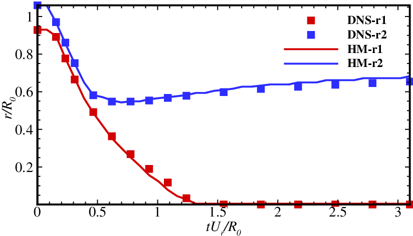
在大涡模拟模型/方法研究方面,研究者基于湍流中螺旋度相关基础理论,推导出了新的大涡模拟模型(HM),该模型具有转捩/湍流自适应模拟的特点。目前,该大涡模拟模型已成功应用于高超声速飞行器中边界层转捩/湍流问题、热核聚变中的界面不稳定性导致的湍流混合等关键复杂流动问题。
相关研究成果发表在J. Fluid Mech., Phys. Fluids, Phys. Rev. E, Phys. Rev. Fluids 等国际著名流体力学期刊上,相关研究得到国家自然科学基金湍流重大研究计划重点项目(91852203)和国家重点研发计划(2019YFA0405300,2016YFA0401200)的支持。
文章链接:
(1) https://doi.org/10.1017/jfm.2020.289
(2) https://doi.org/10.1063/5.0013009
(3) https://doi.org/10.1103/PhysRevE.99.033114
(4) https://doi.org/10.1103/PhysRevFluids.5.084604
(5) https://doi.org/10.1063/1.5128061
附件下载: