
复杂新型轻质结构健康检测与损伤识别研究进展
轻质金属点阵夹层板在制备和使用过程中形成的损伤与缺陷有可能显著影响其服役性能。这些损伤与缺陷包括点阵芯材与面板的虚焊、脱焊,微桁架结构的弯曲、断裂,面板局部熔穿、孔洞等。损伤的出现会降低结构的强度和刚度,形成局部薄弱部位;改变结构固有频率等动力学特性,引发结构共振;改变屈曲临界温度,增加屈曲失效的风险。因此,开展这类复杂新型轻质结构的损伤识别方法研究对工程实践具有重要意义。热结构耦合力学课题组近期在复杂新型轻质结构损伤识别与动力学特性等方面取得了一系列研究进展。
点阵夹层板的损伤识别存在多个难点问题:
(1) 夹层板内部出现虚焊、芯材损伤时,怎样根据面板表面响应信息识别结构内部损伤?
(2) 面板与夹芯连接点处的高刚度使得结构振型在连接点存在奇异性,怎样的标识量才能只凸显结构损伤?
(3) 夹层板损伤类型丰富,不同位置、类型的损伤对结构动特性影响不同,怎样尽可能多的识别结构损伤?
(4) 对于难以获得可供参考历史状态的复杂结构,怎样根据结构当前状态识别结构损伤?
课题组提出了一种基于结构柔度矩阵与间隔光滑法的无基线的损伤识别方法,无需结构完好状态信息作为参考,可有效抑制面板与夹芯连接点奇异性对真实损伤识别的影响,引入的权重系数可有效解决多位置多类型损伤并存时的损伤识别。此外,针对虚焊损伤进行了系统的试验研究,并提出一种0-1虚焊边界识别方法,在精确识别虚焊位置的同时可以对损伤边界进行评估。
点阵夹层板结构内部损伤的分布具有显著的随机性。课题组进一步对随机性损伤对点阵夹层板动特性影响进行了分析,并开展了实验验证。通过随机数设置模拟模型中损伤随机分布,获得了随机损伤对结构动特性影响与约束条件的严苛程度、损伤程度的关系,以及不同约束条件下随机损伤分布于不同区域对结构动特性的影响。
上述工作分别在线发表于Structural Health Monitoring (DOI: 10.1177/1475921716660055),Composite Structures (http://dx.doi.org/10.1016/j.compositesb.2016.10.051)和Composites Part B (http://dx.doi.org/10.1016/j.compstruct.2016.12.028)等学术期刊上,研究工作获得了国家自然科学基金等课题的支持。
发表论文列表:
[1] L.L. Lu, H.W. Song, W. Yuan, C.G. Huang, Baseline-free damage identification of metallic sandwich panels with truss core based on vibration characteristics, Structural Health Monitoring, (2016): 1-15. DOI: 10.1177/1475921716660055
[2] L.L. Lu, H.W. Song, C.G. Huang, Experimental investigation of unbound nodes identification for metallic sandwich panels with truss core, Composite Structures, 149 (2016): http://dx.doi.org/10.1016/j.compstruct.2016.12.028.
[3] L.L. Lu, H.W. Song, C.G. Huang, Effects of random damages on dynamic behavior of metallic sandwich panel with truss core, Composites Part B, (2016):1-13. http://dx.doi.org/10.1016/j.compositesb.2016.10.051

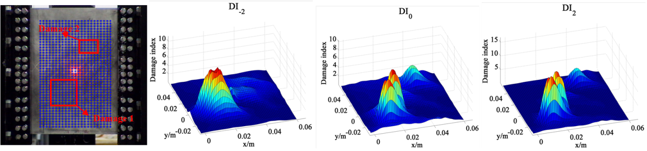
(a)

(b)
图1 含多处损伤的点阵夹层板识别结果. (a)多处损伤的数值仿真识别; (b)两处不同程度损伤的激光测振试验识别.
(Structural Health Monitoring, 2016: 1-15)

(a)

(b)
图2 虚焊损伤识别. (a) 虚焊示意图. (b) 0-1识别结果.
(Composite Structures, 2016)

(a) (b)
图3 随机损伤的影响. (a) 分析模型验证. (b) 随机损伤对结构动特性影响
(Composites Part B, 2016)
附件下载: