
激光成形研究进展
激光弯曲成形和激光辅助预应力成形两种成形方法都是利用了激光对钣金结构件局部加热,使之在局部区域产生一定的非均匀温度场,从而进一步使得该钣金件发生局部的塑性变形,以达到成形目的。为保障成形件的使用性能,工艺上需要严格限制激光工艺参数。因此,了解激光工艺参数与加工过程中的温度变化、分布之间的关系显得极为重要。近日,中科院力学所先进制造工艺力学重点实验室基于激光作用于有限大薄板这一物理模型,给出了加工过程中温度分布的解析解,以用于快速计算一定工艺参数条件(功率密度、光斑半径、移动速度)下激光作用下的温度分布。相关成果在线发表于Applied Mathematical Modelling (doi://10.1016/j.apm.2015.11.024)
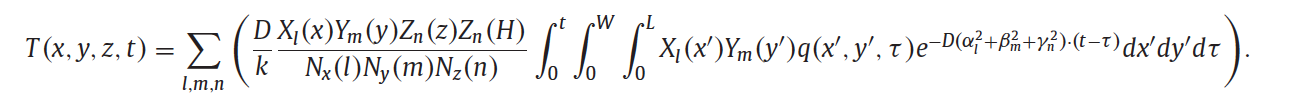
对于激光作用于金属薄板的温度场模型(图1),目前主要研究方法包括解析方法、数值方法以及人工智能方法。其中数值方法和人工智能方法可以较准确的模拟复杂工况,但一般来说耗时较大。对于人工智能方法还需要建立大量的训练样本。相对的,解析方法则可以在一定程度上快速预测温度场。本研究工作考虑对流换热边界条件,通过直接求解有限大边界的三维热传导方程,以求得温度场随时间的函数。首先通过分离变量法求解该模型所对应的本征值问题,得到一组完备的基函数(本征函数)。然后将方程的非齐次项和温度函数在该基函数上展开为级数形式,系数待定。最后将该级数代入原方程,通过积分变换求得各项系数,从而得到温度场的解析解(图2)。实际求解过程中,由于指数项的存在,该级数收敛较快,计算代价小。另外,可以通过采用低差异序列的准蒙特卡洛方法可以处理任意激光扫描路径下的温度分布。因此,对于任意给定激光扫描路径,均可通过该方程快速求得任意点在任意时刻的温度。进一步,本研究通过实验和有限元计算验证了该解的正确性。验证实验采用铝合金AA6061T6板件为对象,YAG连续波激光系统为光源,并纪录激光扫描过程中P1、P2、P3点(图1)的温度历程。结果显示,测量结果、有限元模型以及解析解在一定范围内是一致的。
上述研究获得了国家自然科学基金青年基金项目的支持。

图1 激光作用于有限大薄板的物理模型

图2 温度场的解析解

图3 解析解的实验、有限元验证
MAM供稿
附件下载: