与传统合金相比,高熵合金具有优异的力学性能,例如高强度和高韧性,这些优异性能甚至在极低温度下也能够得到体现,因此高熵合金是材料及力学领域近些年的研究热点。其中 CoCrFeMnNi(也被称为 Cantor 合金)被广泛研究,它是单相的具有面心立方(FCC)结构的晶体。关于高熵合金的微观塑性变形机理一直存在几种说法:第一性原理模拟预测高熵合金在塑性变形过程中会发生由 FCC 到 HCP 的相变,并且的确在 Cr20Mn6Fe34Co34Ni6 中发现了这个现象,因此相变被认为是高熵合金强化的微观机理,但是这种现象在 Cantor 合金这种等原子合金中迄今为止还没有相应的实验发现。还有一种比较流行的说法是高熵合金在变形过程中会发生溶质原子的短程聚集或者排列,因此对位错运动形成阻碍,但是 STEM-EDS(Scanning Transmission Electron Microscopy-Energy Dispersing Spectroscopy) 以 及 APT(Atom Probe Tomography)等实验手段将观测的空间分辨率降低到 1 纳米都没有发现化学上的不均匀性。从金属强韧化机理的角度来说,金属材料的强韧化通常是位错的运动受到阻碍(或位错的形核变得困难),这种阻碍可能原位透射电镜实验数据挖掘:CoCrFeMnNi 高熵合金中位错演化特征是来自于位错本身的结构特征(dislocation core structure),也可能来自某种位错微结构,例如位错塞积(dislocation pile-up)。在 Cantor 合金中,不同原子之间的相互作用会造成晶格的扭曲,造成崎岖的能量景观(rugged energy landscape)。这个能量景观是不可见的,对位错运动的作用体现为一系列不可见的钉扎点(pinning points),使得位错运动表现为 stick-slip(对应着物理领域中 pinning-depinning 现象)。Cantor 合金中位错的这种 stick-slip 运动形式已经被分子动力学模拟重现,并且在原位投射电镜(TEM)实验中也得到了观察。因此近期对Cantor 合金的研究大都集中在如何揭示能量景观的特征,然而模拟手段(例如分子动力学)受到时间和空间尺度的限制,很难得到具有统计学意义的结果。针对这一问题,我们采用对原位透射电镜实验结果进行数据挖掘,基本思路是把位错作为探测钉扎点的探针,利用位错运动路过钉扎点时的两个特征:(1)位错局部会变弯曲;(2)位错运动速度会大大降低。
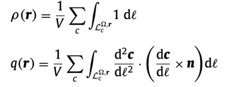
在经典扫描方法中,基本的思路是将需要扫描的空间场信息离散化,在离散化的场中对扫描得到的信号(物理量信息)进行平均化处理。位错是材料内部三维空间中的线缺陷,因此涉及到对位错信息平均化的处理方法,这里我们采用连续位错动力学中的场变量,定义如下
位错密度:
曲率密度:
在扫描空间中的平均化数学定义为:
因此我们可以扫描到的位错信号为:

它们分别是扫描位错密度及扫描位错曲率密度。
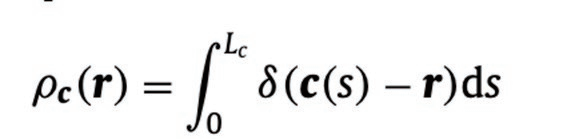
在数值化方法中,通常将扫描空间离散化为大小相等的 voxel:

基于以上算法,我们可以得到位错曲率的扫描信息:

扫描可以进行多次(通过多根位错扫描同一个滑移面)并进行加权平均,因此最终的扫描信号为:

基于以上方法,我们对 Cantor 合金中位错运动进行了实验研究和分析,但是由于透射电镜本质上是三维信息在观察平面的投影,因此需要对透射电镜得到的位错信息进行三维重建,如下图所示,通过晶体学信息及实验信息,我们可以得到实验中观测到的位错线 V1‘V2’的真实三维信息 P1P2。

图一:位错线三维重构示意图
基于上述方法,我们可以得到实验数据(图(a))的三维位错结构(图(b)),以及位错在滑移面上的信息(图(c))。基于图(c), 我们可以利用位错对滑移面进行扫描化分析。

图二:实验数据中典型位错塞积结构的三维重建。
(a)透射电镜中拍到的位错塞积结构,右侧第三根位错出现明显的局部弯曲。(b)三维重建后的位错线。(c)位错线在滑移面上的分布。
根据位错线的局部弯曲程度,我们可以大概估算出钉扎点的‘强度’:

图三:估算钉扎点强度示意图
位错的线张力可以通过位错的弹性能计算:

这里的角度表示位错切线方向与柏氏矢量之间的夹角,而弹性能可通过下面的公式计算:

这里 R 表示距离位错核的距离,r0 表示位错核半径,我们取 R/r0=4。在钉扎点处,分析力平衡可以得到位错线作用在钉扎点上的力为:

基于以上信息,我们首先通过肉眼分析整个透射电镜实验过程,选取了三个钉扎点位置,在这些位置,位错有明显的局部弯曲现象,并且是可重复的:每一根位错到这里都会发生这种局部现象,但是弯曲程度却不相同,因此我们可以通过位错局部弯曲程度来估算钉扎点强度的演化。图四(a)主要为了表明位错卡在钉扎点处的时候,其与前后位错的距离变化。由于距离变化不大,因此可以排除掉位错局部的弯曲不是由于其他位错弹性交互作用造成的,而是由于局部钉扎点造成的。如图四(b)所示,选取的三个钉扎点的强度有着不同的演化规律。有两个选取的钉扎点表现出微弱的上升趋势,即钉扎点强度会随着塑性变形的增加而增大,而另外一个钉扎点的强度却表现出明显的下降趋势,其深层次原因在本项研究中不得而知。

图四:不同编号位错通过钉扎点时的信息。
(a)通过钉扎点被卡住时候与前后位错的距离。(b)估算出的钉扎点强度演化。
上面的分析中选取的钉扎点是通过肉眼选择的,因此是主观的。那么有没有一种客观的自动的分析方法可以将钉扎点标示出来。下面我们采用文章开头介绍的扫描方法对这一问题进行分析。如图五所示,首先将透射电镜中得到的位错线信息进行人工标注,得到位错线的准确坐标信息并进行三维重建,最后投影到滑移面。图(b)是位错线的曲率分布信息,我们可以看到位错弯曲的地方曲率很大。图(c)展示的是通过透射电镜中连续两帧图片计算得到的位错线扫描时的运动速度场,可以看到位错线被钉扎的区域速度值非常小。

图五:(a)透射电镜实验中的位错线分布信息。
(b)通过扫描思想计算得到的位错线曲率分布信息。
(c)以透射电镜实验中连续两帧图片分析得到的位错扫描速度信息。
那么基于这方法,我们对透射电镜中的大量图片进行了人工标注,并进行了扫描分析,结果可以总结为图六。图(a)是以位错作为探针,对整个滑移面进行扫描得到的曲率分布结果,这里的曲率分布是指当位错运动到当前位置时的曲率,因此高曲率的区域可能表示钉扎点的存在。 这里之所以说可能,是因为位错有一些区域也有明显的弯曲,但是并没有十分明显的钉扎现象。因此我们也需要研究速度场的分布信息,如图(c)所示,可以看到,滑移面中部有大片速度比较小的区域,但是实际上这并不是钉扎点大量存在的区域。原因在于在钉扎点区域,位错会发生 pinning-depinning 的转变。这种现象可以类比于一个橡皮筋在桌面运动,突然被钉子卡住,那么拔出钉子的时刻,橡皮筋被卡住的区域会有很大的加速度,并在一定时间内获得很大的运动速度。因此位错在钉扎点附近发生 depinning 现象时,附近的速度场应该存在着一个突变的现象。我们分析滑移面的扫描信息发现这种现象发生在滑移面的右侧区域。图(b)与图(d)是扫描信息沿着 y 方向的平均,这个信息主要是为了说明我们研究的位错塞积结构与理论模型中的标准位错塞积结构非常不同,这也反映了高熵合金与传统面心立方金属的不同之处。

图六:(a)通过位错扫描得到的滑移面上有位错通过 时,在当地的曲率。
(b)图(a)中的曲率信息沿着 y 方向的平均。
(c)通过位错扫描得到的滑移面上位错通过时,在当地的速度。
(d)图(c)的中的速度信息沿着 y 方向的平均。
这部分研究是我在德国工作期间带着我的博士生完成的。研究结果在一定程度上揭示了 Cantor 合金中滑移面上复杂的能量景观,但没有办法对相关参数进行定量研究。实际上,这部分研究更重要的意义在于提出了一个透射电镜研究位错运动的新方法。这部分工作由我的合作者在 2022 年于夏威夷召开的 MRS 会议中进行了展示,获得了极高评价:这项工作是本次会议中唯一的亮点工作。
参考文献:
Data-mining of in-situ TEM experiments: On the dynamics of dislocations in CoCrFeMnNi alloys.C Zhang, H Song, D Oliveros, A Fraczkiewicz, M Legros, S Sandfeld.Acta Materialia 241, 118394
宋恒旭,研究员,超常环境非线性力学国家重点实验室(筹)。研究领域:1)多尺度塑性力学;2)接触摩擦力学 ; 3)材料数据科学。