
提出高雷诺数壁湍流统一壁面律公式,准确捕捉流向速度
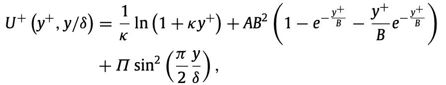
完全解析近壁小尺度湍流结构的大涡模拟和直接数值模拟,计算量高,难以应用于自然界和工程实际中的高雷诺数壁湍流。采用模型模化而非直接解析近壁小尺度湍流是一种广泛采用的替代方案。壁面律是一种常用的壁模型,其通常由两部分组成,适用于黏性子区的线性律和适用于对数区的对数律,但在线性律和对数律转换的区域,模型精度低。针对以上问题,中国科学院力学所何国威研究员科研团队提出了适用不同壁法向位置的单一公式壁面律,LOG-EXP公式:

其中卡门常数 κ = 0.4,A = 0.314, B = 4.775,Π = 0.793 。与通常基于阻尼函数的近壁模化方法不同,我们通过引入修正项弥补混合长模型与实际雷诺剪应力的差异,推导了以上表达式。与经典流动的直接数值模拟和实验数据对比显示该公式可以准确捕捉不同壁法向位置的流向速度(图4)。

图 4:LOG-EXP公式与圆管流动(a)和平板边界层流动(b)实验数据的对比。
以上研究结果发表在《Eur. J. Mech. B Fluids》,题目为《一种新的单一公式壁面律及其在壁面模化大涡模拟中的应用》,第一作者为中科院力学所研究生张风顺,通讯作者是杨晓雷研究员。

附件下载: