
纳米多晶金属多尺度塑性本构模型
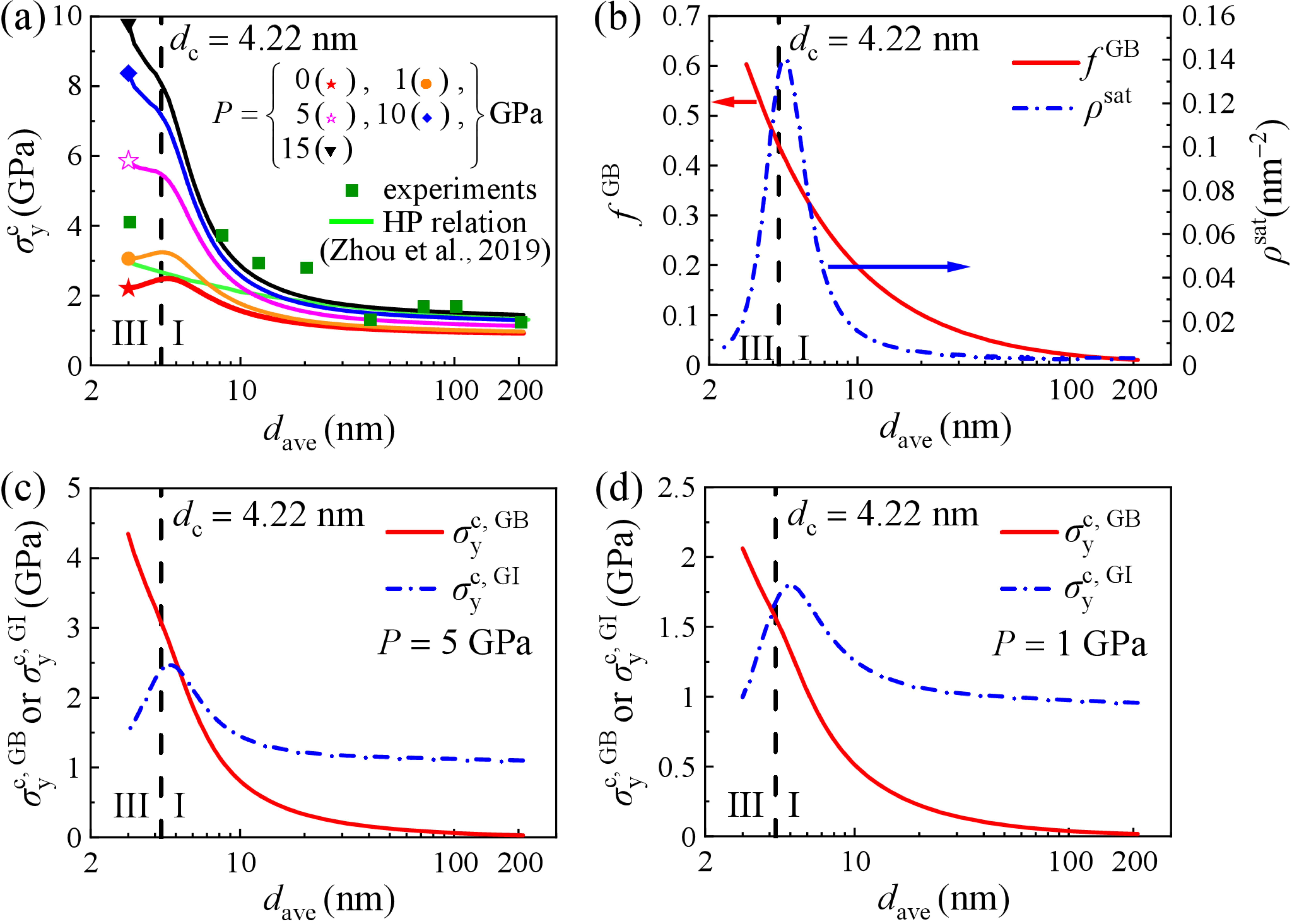
在常压情况下,纳米多晶金属的晶粒尺寸软化现象不可避免。但近期的实验显示,在高压下纳米多晶镍的屈服强度会随着晶粒尺寸的减小而单调增大,即高压诱导了反Hall-Petch现象消失。目前对这一特殊现象的理论研究存在空缺。
北京大学工学院力学与工程科学系易新课题组以该组提出的位错存储模型(J. Mech. Phys. Solids 154, 104530 (2021))为基础,建立了纳米多晶金属的统一多尺度静水压相关塑性本构模型。研究表明,反Hall-Petch现象消失是静水压诱导的晶界强化和晶粒内部位错存储能力减弱这两个因素相互竞争的结果:静水压诱导的晶界强化能促进反Hall-Petch现象的消失,而晶内位错存储能力下降导致的晶内软化则会阻碍反Hall-Petch现象的消失 (图14)。由于晶界强度对分法向应力的变化更为敏感,随着晶粒尺寸的减小,纳米多晶金属材料屈服强度的拉-压不对称性变得更加显著,且随着晶粒尺寸减小到几个纳米而最终达到饱和。此外,由于晶界塑性变形受到静水压抑制,纳米多晶金属材料中的剪切局域化现象以及相邻晶粒间的微裂纹和微孔洞汇聚现象得到缓解,导致宏观裂纹扩展受到阻碍。相应地,纳米多晶金属材料的延展性和断裂强度得到提升。同时,研究还发现负静水压引起的材料软化要比相同数值正静水压引起的强化效果更为显著。该研究为理解纳米多晶金属的高压强化现象提供了新见解,并为通过晶界工程合理设计和制造高强度、高延展性的纳米多晶金属提供了新思路。
结果发表在《Int. J. Plast.》,论文第一作者为北京大学力学与工程科学系18级博士生韩泉峰。论文链接:https://doi.org/10.1016/j.ijplas.2022.103261。

图14:(a) 不同静水压下纳晶镍屈服强度模拟值和实验值;(b) 饱和位错密度和晶界体积分数随晶粒尺寸dave变化;(c,d) 不同静水压P作用下,晶界和晶内对屈服强度的贡献。
附件下载: