
半径比对超重力热湍流的影响研究
近期,《J. Fluid Mech.》刊登了清华大学燃烧能源中心、能源与动力工程系和航天航空学院的孙超课题组王东璞等人关于半径比对离心浮力驱动湍流热对流中的湍流结构和传热的影响的研究工作,论文的题目为《半径比对环形离心力瑞利伯纳德对流的影响》(Effects of radius ratio on annular centrifugal Rayleigh-Benard convection)。该工作探究了超重力热湍流在不同内外环曲率比条件下,纬向流的特征、热输运规律和非布斯涅斯克效应(non-Boussinesq effect)。
湍流热对流在许多自然现象和工业过程中广泛存在,如地球地幔和外地核中的对流、大气对流、海洋对流、旋转机械中的对流等,许多对流过程耦合了旋转效应的影响。下板加热上板冷却的瑞利伯纳德系统是研究热湍流的一个经典模型。为了提高浮力驱动强度,孙超课题组最近提出了通过高旋转产生的极端超重力驱动的热湍流研究的崭新方案,在该系统中发现了一种新奇的大尺度流动现象,即纬向流。纬向流与一些天体表面的沿纬度方向运动的大尺度波密切相关,也与航空发动机盘腔中的涡的周向进动等十分类似。王东璞等人推测该对称性破缺现象与内外环的曲率比及科里奥利力效应有关。
王东璞等人通过高时间和空间分辨率的三维直接数值模拟方法,对半径比0.3-0.9,瑞利数106-108高湍流强度范围内的流动和传热进行了系统的研究。首先,通过温度场发现,冷热羽流受科里奥利力作用发生偏转,偏转的轨迹近似为圆弧,在所研究的参数范围内,惯性力与科氏力平衡,得到轨迹圆的曲率半径与羽流运动速度成正比,再根据特征速度与超重力和相对温差的关系,得到了从外环脱体的热羽流的轨迹圆的曲率半径较小,并且随着半径比减小,热羽流相对冷羽流偏转程度增大,因此热羽流偏转撞击冷羽流的根部,推动大尺度环流相对旋转系统的正向进动,并且纬向流强度随着半径比减小而增强。

图9:(a),不同半径比条件下的平均周向速度型;(b)不同浮力驱动强度Ra条件下,时空平均的周向速度随半径比的变化。
通过改变半径比和瑞利数,并进行长时间统计分析,发现大尺度环流涡的进动频率随着半径比的减小而加快;并通过周向平均的周向速度定量地反映了冷热羽流偏转的不对性程度(图9a),在不同Ra条件下都发现随着半径比减小,时空平均的周向速度增大(图9b)。这些证据都说明内外环曲率不同,使得热羽流的偏转程度更大,偏转距离更长,撞击冷羽流进而形成了纬向流。研究还发现超重力系统中,大尺度环流涡的宽高比都大于1,这可能是由于纬向流的作用,使涡在周向的尺度增大。随着Ra增加,涡逐渐趋近于宽高比1的情况,这是由于流动的湍流程度增强,更多的羽流从不稳定的边界层脱体,因此沿周向形成了更多的大尺度环流涡。
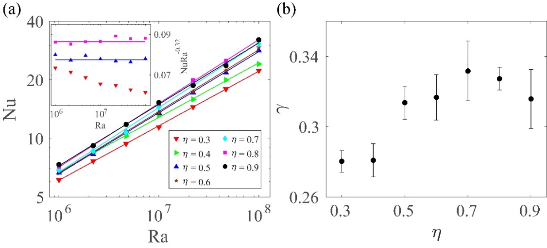
湍流传热一直是热对流研究的热点。在超重力系统中,发现随着半径比的增加,传热标度律指数先增加,当半径比大于0.7时逐渐趋于饱和(图10)。通过计算反映浮力与剪切作用的比值的理查德森数随雷诺数的变化,得到了纬向流对传热的影响很小,推测传热随半径比的减小而降低可能与尺寸约束效应对羽流运动的影响有关。在经典RB系统中,由于物性参数随温度的变化,导致中心温度与平均温度存在偏差,称为非布斯涅斯克效应(NOB效应)。在超重力湍流系统中,发现了明显的温度非对称分布,这也是造成纬向流的一个重要原因,并通过理论建模和数值模拟,对该非对称分布做出了很好的预测,发现该非对称分布与超重力沿径向线性变化和曲率效应有关,还给出了内外边界层厚度比值的表达式。
该研究的结果有助于理解超重力热湍流系统中的湍流结构生成和演化及湍流传热规律,对于辅助优化设计新型实验腔体具有指导意义。纬向流形成机制的崭新解释对于改善理解天体物理和地球物理中的一些流动现象具有启发意义。通过超重力可以大幅增加体区温度,这一现象及精准的理论预测对于工业生产中的高速旋转机械中的流动和热控制方面具有借鉴意义。
以上研究获得国家自然科学基金基础科学中心项目“非线性力学的多尺度问题研究” (基金号11988102) 资助。论文链接:https://doi.org/10.1017/jfm.2021.889。

图10: (a)不同半径比条件下,湍流传热效率Nu与Ra的标度律关系;(b)标度律指数随半径比的变化
附件下载: