
金属玻璃的疲劳极限与裂纹扩展研究进展
近期,中科院力学所魏宇杰研究员团队在《国际疲劳》(International Journal of Fatigue)发表了题为“Fatigue Endurance Limit and Crack Front Evolution in Metallic Glass”的研究文章,揭示了非晶圆轴试件球形缺陷几何特征与疲劳裂纹诱发及扩展的关联关系。
非晶金属,也叫金属玻璃,是通过把特定组份的熔融合金快速凝固的方法来得到的一种新型合金材料。金属玻璃由金属元素的组份,以类似玻璃的非晶结构构成,具有优异的力学性质(如Vit1金属非晶,断裂强度≈2GPa,弹性极限≈2%,断裂韧性≈55MPa.m1/2)。金属非晶各向同性临界尺寸约为100nm量级,比常规多晶材料低三个数量级。因此金属非晶是理想的线弹性固体力学模型材料,具有大的弹性极限,又具有高强的韧性,便于加工便于分析力学性能与微观结构之间的关系。
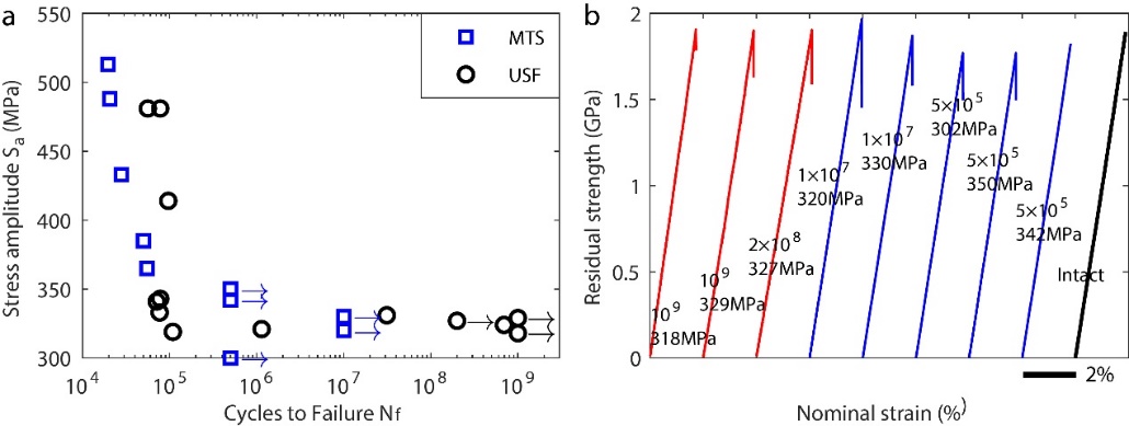
本工作利用金属非晶的优良性质,结合超声疲劳和常规疲劳测试方法,把金属非晶的疲劳寿命研究拓展至109量级,发现金属非晶存在明显的疲劳极限;并通过疲劳残余强度的测试验证了该疲劳极限 (图11)。金属非晶中的疲劳裂纹诱发源绝大部分为理想球形孔洞,数值计算分析表面:可以利用球形孔洞的尺寸和位置计算其裂纹诱发韧性K0。发现金属非晶的疲劳裂纹前沿为典型的椭圆弧形,并且其扩展演变遵从一定的规律,可以通过断裂时的扩展前沿估算材料的断裂韧性(图12)。

图11: 金属非晶Vitreloy 1的疲劳特性:(a)的S-N曲线,包括超声疲劳测试和常规疲劳测试。(b)样品一定数量的循环载荷后的应力-应变曲线。

图12:金属非晶 Vitreloy 1 中疲劳断裂的裂纹前沿特征。(a)实验(蓝色实线)和二次拟合(红色虚线)的裂纹前沿。(b)疲劳裂纹扩展过程中椭圆前沿的短轴和长轴的相关特征。
该研究为探索疲劳裂纹萌生与材料微结构及缺陷之间的关系提供实验支撑;为探索裂纹萌生后的扩展规律提供实验支撑。对高铁车轴等轴杆类工程试件的疲劳寿命分析及剩余寿命评估提供指导。
该工作得到了国家自然科学基金委“非线性力学的多尺度问题研究”基础科学中心项目 (Grants NO. 11988102和 NO. 11790291),中国科学院先导专项(XDB22020200) 以及复杂系统力学卓越创新中心的支持。论文链接:
https://www.sciencedirect.com/science/article/pii/S0142112320305363
附件下载: