
油水两组分两相湍流研究
近期,《Journal of Fluid Mechanics》刊登了清华大学燃烧能源中心、能源与动力工程系和航天航空学院的孙超课题组易磊等人关于油水两相湍流有效粘度与液滴统计特性的研究工作,论文的题目为《油水两组分两相湍流的流变特性与液滴统计特性》(Global and local statistics in turbulent emulsions)。该工作探究了油-乙醇水两相体系在剪切湍流条件下的宏观流变特性与微观液滴统计特性。
多相湍流是一类典型的流体物理系统,其中微观液滴结构与宏观流变特性具有显著的强耦合作用,这也使得该体系呈现复杂的动力学特性。此外,油水两相流动常见于包括石油开采、化工生产与食品加工等在内的多种工业过程中,并且其流动通常处于湍流状态,因此该研究不仅有助于增强对油水两相湍流系统流变特性与统计特性的科学认识,同时也具有湍流减阻、增强掺混等工业应用价值。
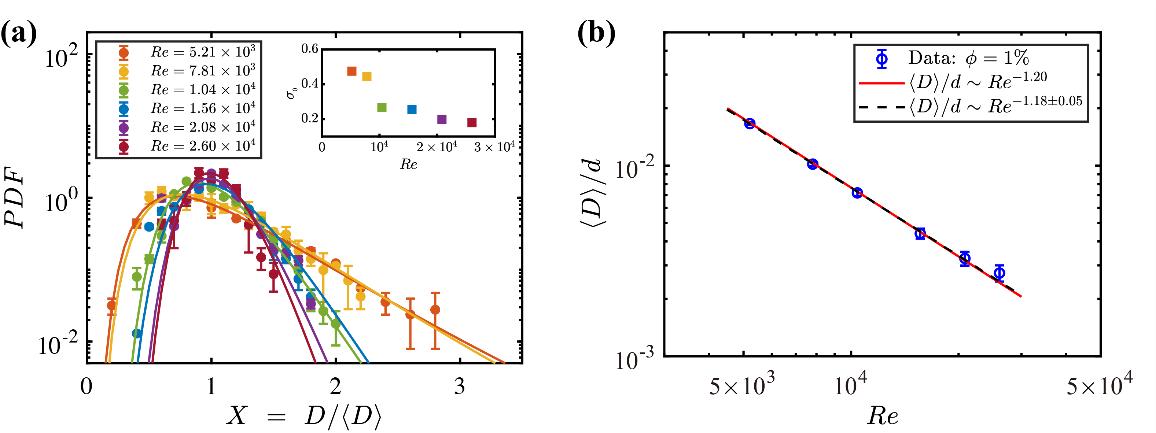
在该研究中,易磊等人通过利用一套Taylor-Couette剪切湍流装置,构建了稳定的油-乙醇水两相混合湍流体系,其中油相体积分数不高于40%。在1%的低油相体积分数情况下,易磊等人通过高速摄像技术捕捉了湍流状态下的分散液滴,并利用图像处理技术对分散液滴的直径进行了统计分析。如图5(a)所示,在不同的雷诺数下,体系中液滴无量纲尺寸的概率密度分布可以通过对数正态分布函数来很好的描述,并且随着雷诺数的增加,分布的宽度逐渐变窄窄(对应于分布函数标准差σ0减小)。这些结果表明,油水两相湍流体系中分散液滴的形成是由典型的破碎过程所主导的。

图5. (a)油水两相湍流分散液滴尺寸分布;(b)液滴尺寸随雷诺数标度律关系
该研究进一步探究了油水两相湍流中液滴尺寸随雷诺数的依赖关系,如图5(b)所示。实验发现,随着雷诺数的增加,分散液滴的平均尺寸显著减小。对实验数据的拟合结果表明,无量纲的平均液滴尺寸与雷诺数遵循-1.18的标度律关系。基于体相区能量耗散率的进一步分析发现,这个-1.18标度率关系与经典的Kolmogorov-Hinze理论推导得到的-1.2标度律指数高度吻合。因此,我们推测 Taylor-Couette油水两相湍流中液滴尺寸随雷诺数的依赖关系可能与体相区能量耗散率相关。
随着油相体积分数逐渐增加,分散相的存在对油水两相湍流的总体流变特性开始产生影响。通过采用一个新的有效粘度的计算方法,易磊等人得到了不同剪切速率下油水两相湍流体系的有效粘度随油相体积分数的变化情况,如图6(a)所示。结果表明,随着油相体积分数的增加,体系的有效粘度显著增大,这一规律与固体球形颗粒的悬浮液体系类似。同时,研究还表明,随着剪切速率的增加,油水两相湍流体系的有效粘度逐渐减小,即存在剪切稀化效应,如图6(b)所示。进一步的分析发现,以上的剪切稀化效应可以通过Herschel–Bulkley非牛顿流体模型来有效地描述,模型拟合得到的流动指数随油相体积分数的增加而减小,这也表明体系剪切稀化的效应随油相体积分数增加而更加明显。

图6. (a) 有效粘度随油相体积分数变化;(b) 剪切稀化效应
该实验研究的结果有助于将单相湍流与低雷诺数多相流动的理论拓展到多相湍流体系。同时,由于多相湍流体系在工业中的广泛存在,该研究得到的平均液滴尺寸随雷诺数的标度律关系有助于实现液滴尺寸的调控,而两相和两组分湍流中剪切稀化效应的发现则具有潜在的湍流减阻应用前景。
该论文的第一作者为清华大学能动系和燃烧能源中心2018级直博生易磊,孙超教授为通讯作者,论文合作者为荷兰埃因霍芬理工大学的Federico Toschi教授。
该论文得到了国家自然科学基金基础科学中心项目(基金号 11988102)的支持。论文链接: https://doi.org/10.1017/jfm.2020.1118。
附件下载: