• 首 页
  • 机构概况
    • 机构简介
    • 组织机构
      • 科研系统
      • 管理系统
      • 支撑系统
    • 所党委
    • 行政领导
    • 历任党组织负责人
    • 历任行政领导
    • 学术委员会
    • 学位委员会
    • 形象标识
    • 所内风光
      • 中关村园区
      • 怀柔园区
      • 落塔
      • 科学家精神
      • 文体活动
  • 科学研究
    • 研究领域
    • 合作交流
    • 科研进展
    • 仪器设备
    • 科研产出
      • 获奖
      • 专著
      • 论文
      • 专利
  • 人才队伍
    • 人才概况
    • 两院院士
    • 正高级岗位
    • 副高级岗位
    • 优秀人才
      • 国家级领军人才
      • 国家级青年人才
      • 中国科学院青促会
      • 创新团队
      • 优培计划
  • 教育培养
    • 机构简介
    • 导师队伍
    • 招生就业
    • 培养学位
    • 思想政治教育
    • 通知公告
    • 研究生教育
  • 党群园地
    • 党组织机构
      • 所党委
      • 所纪委
      • 党支部
      • 工会
      • 团委
      • 妇委会
    • 党建要闻
    • 基层战斗堡垒作用
    • 党员先锋模范作用
    • 工作通知
    • 学习园地
    • 规章制度
    • 警示教育
    • 流程指南
    • 协力原创文章
      • 党员随笔
      • 创新驱动发展
      • 力学人
    • 党员主题教育基地
  • 科学传播
    • 学术期刊
    • 科普资源
    • 力学园地
      • 科普花园
      • 前沿动态
      • 情系科学
      • 释疑解惑
      • 精彩图片
    • 科普报告
  • 信息公开
    • 信息公开规定
    • 信息公开指南
    • 信息公开目录
    • 依申请公开
      • 公民
      • 法人/其他组织
    • 信息公开年度报告
      • 预算决算
    • 信息公开联系方式
  • 中科力森
    • 关于力森
    • 主体业务
      • 国资监管
      • 成果转化
      • 知识产权运营
      • 投资
    • 产业布局
      • 持股企业
      • 事业部
      • 产品介绍
      • 科技成果
        • 航空航天
        • 生命健康
        • 交通能源
        • 先进制造
        • 专业软件
    • 新闻资讯
      • 力森要闻
      • 持股企业动态
    • 招聘信息
      • 岗位信息
      • 持股公司
    • 联系我们
  • 怀柔园区
    • 基地概况
    • 动态信息
    • 通知公告
    • 科研团队
    • 管理制度
    • 流程指南
    • 基础服务
    • 周边配套及景点
    • 联系我们
    • 图片新闻
    • 科研进展
    • 全文检索
    • 大型装备
    • 园区简介
    • 配套设施
    • 联系我们
  • 基础科学中心
    • 中心简介
    • 工作动态
    • 科研进展
    • 会议通知
    • 人才队伍
      • 核心骨干
      • 青年人才
    • 快讯
  • 媒体扫描
  • 综合信息
  • 通知公告
  • 学术交流
  • 招聘信息
  • 仪器设备
  • 专题报道
  • English
  • 所内网
  • 邮箱登录
  • 所长信箱
  • 联系我们
  • English
  • 所内网
  • 邮箱登录
  • 所长信箱
  • 联系我们
  • 首 页
  • 机构概况
    • 机构简介
    • 组织机构
      • 科研系统
      • 管理系统
      • 支撑系统
    • 所党委
    • 行政领导
    • 历任党组织负责人
    • 历任行政领导
    • 学术委员会
    • 学位委员会
    • 形象标识
    • 所内风光
      • 中关村园区
      • 怀柔园区
      • 落塔
      • 科学家精神
      • 文体活动
  • 科学研究
    • 研究领域
    • 合作交流
    • 科研进展
    • 仪器设备
    • 科研产出
      • 获奖
      • 专著
      • 论文
      • 专利
  • 人才队伍
    • 人才概况
    • 两院院士
    • 正高级岗位
    • 副高级岗位
    • 优秀人才
      • 国家级领军人才
      • 国家级青年人才
      • 中国科学院青促会
      • 创新团队
      • 优培计划
  • 教育培养
    • 机构简介
    • 导师队伍
    • 招生就业
    • 培养学位
    • 思想政治教育
    • 通知公告
    • 研究生教育
  • 党群园地
    • 党组织机构
    • 党建要闻
    • 基层战斗堡垒作用
    • 党员先锋模范作用
    • 工作通知
    • 学习园地
    • 规章制度
    • 警示教育
    • 流程指南
    • 协力原创文章
      • 党员随笔
      • 创新驱动发展
      • 力学人
    • 党员主题教育基地
  • 科学传播
    • 学术期刊
    • 科普资源
    • 力学园地
      • 科普花园
      • 前沿动态
      • 情系科学
      • 释疑解惑
      • 精彩图片
    • 科普报告
  • 信息公开
    • 信息公开规定
    • 信息公开指南
    • 信息公开目录
    • 依申请公开
      • 公民
      • 法人/其他组织
    • 信息公开年度报告
      • 预算决算
    • 信息公开联系方式
  • 首 页
  • 机构概况
    • 机构简介
    • 组织机构
    • 所党委
    • 行政领导
    • 历任党组织负责人
    • 历任行政领导
    • 学术委员会
    • 学位委员会
    • 形象标识
    • 所内风光
  • 科学研究
    • 研究领域
    • 合作交流
    • 科研进展
    • 仪器设备
    • 科研产出
      • 获奖
      • 专著
      • 论文
      • 专利
  • 人才队伍
    • 两院院士
    • 正高级岗位
    • 副高级岗位
    • 中级及以下岗位
    • 优秀人才
      • 国家级领军人才
      • 国家级青年人才
      • 中国科学院青促会
      • 创新团队
      • 优培计划
    • 人才招聘
  • 教育培养
    • 机构简介
    • 导师队伍
    • 招生就业
    • 培养学位
    • 思想政治教育
    • 通知公告
    • 研究生教育
  • 党群园地
    • 党组织机构
    • 党建要闻
    • 基层战斗堡垒作用
    • 党员先锋模范作用
    • 工作通知
    • 学习园地
    • 规章制度
    • 警示教育
    • 流程指南
    • 协力原创文章
      • 党员随笔
      • 创新驱动发展
      • 力学人
    • 党员主题教育基地
  • 科学传播
    • 学术期刊
    • 科普资源
    • 力学园地
    • 科普报告
  • 信息公开
    • 信息公开规定
    • 信息公开指南
    • 信息公开目录
    • 依申请公开
    • 信息公开年度报告
    • 信息公开联系方式
科技成果
航空航天
生命健康
交通能源
先进制造
专业软件
  • 当前位置:首页中科力森产业布局科技成果先进制造
  • 先进制造

    集流体箔材毛化轧制改性技术

    发布时间:2023-03-01【字体: 大  中  小 】

      在新能源汽车引领下,电化学储能器件产业蓬勃发展,其中,集流体箔材是电极的重要组成部分。集流体表面被涂布电极材料,起到机械支撑和传导电子的作用。电极层与集流体的电接触面积和电接触保持性,影响器件的倍率和循环性能,因此需要对集流体表面进行改性,提高电极层与集流体界面的性能。
      集流体箔材毛化轧制改性技术,使用激光表面毛化技术加工轧辊,再通过轧制对箔材实施表面改性,本技术具有以下优点:1.改性箔材比表面积大,降低电极层与集流体的界面阻抗,提升界面电接触寿命;2.使用错位轧制技术,改性箔材的力学性能与表面粗糙度弱相关,保证极片的制备工艺要求;3.改性箔材的表面毛化结构设计灵活,可满足多种类型的电化学储能器件使用;4.制备工艺高效、低碳、环保。
      本技术包括两类核心技术:轧辊表面光纤激光毛化技术和错位轧制技术。光纤激光毛化技术从YAG激光毛化技术(2007年度国家科技发明二等奖)发展而来,2015年开发成功,优化了激光毛化的一致性和重复性。本技术共申请11项发明专利,已形成专利包。
    典型产品图片和参数
    典型毛化结构
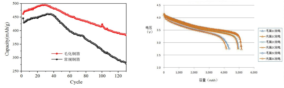
      毛化集流体铜箔+硅碳负极材料,半电池扣电,0.5C放电循环130周,容量保持率提高32%。
      毛化集流体铝箔+三元正极材料,全电池扣电,2C放电容量提高1.4%,3C放电容量提高4.3%。
    主要合作企业或行业
      锂电池相关行业,包括数码电池类、储能电池类、动力电池类。
      新型离子电池相关行业,例如:纳离子电池。
      超级电容相关行业。

    附件下载:

    下一篇:激光先进制造装备系统
    版权所有 © 中国科学院力学研究所 京ICP备05002803号-1 京公网安备110402500049
    地址:北京市北四环西路15号 邮政编码:100190